آخر تحديث :
31/03/2026
المضادة للفيروسات   Foscarnet sodium  
حقن
الاستقرار في حلول استقرار مخاليط العوامل التي تؤثر على الاستقرار التوافق طريقة التعاطي مراجع pdf
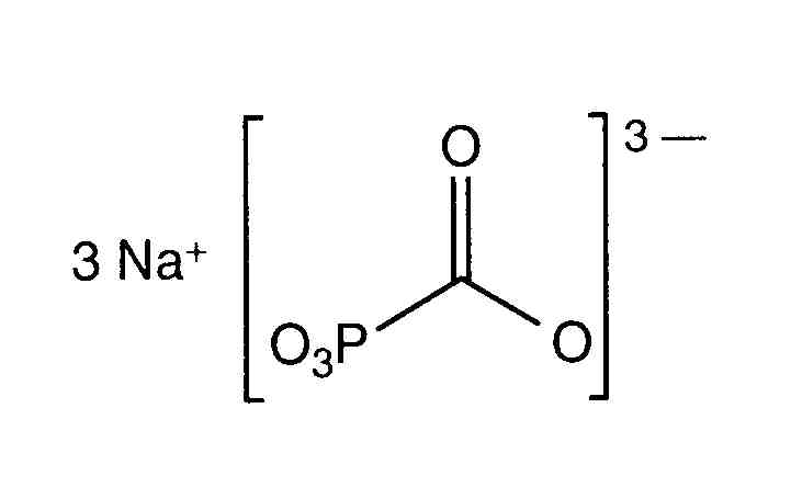
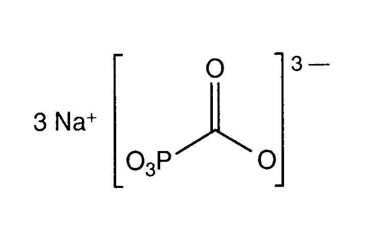
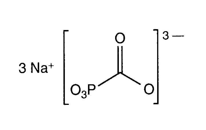
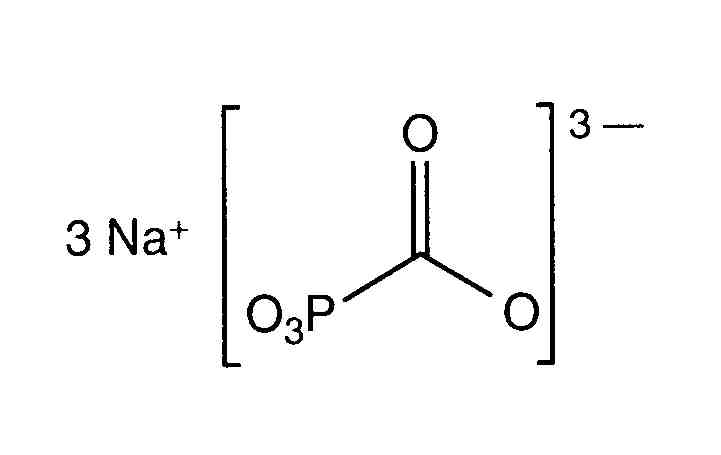
   التركيب الكيميائي  

حجز الاسم التجاري   حجز الاسم التجاري     

تحذير الأسماء التجاريه المختلفه قد تحتوي علي محتوي إضافات مختلفة حسب الدوله و المعمل

Foscarnet إسبانيا, الأرجنتين, الإكوادور, البرتغال, المكسيك, الولايات المتحدة, بيرو, تشيلي, كولومبيا
Foscavir أستراليا, ألمانيا, إسبانيا, إيطاليا, السويد, النمسا, الولايات المتحدة, بريطانيا العظمي, بلجيكا, زيلاندا الجديدة, سويسرا, فرنسا, لوكسمبورغ, هنغاريا, هولندا, يونان
استقرار مخاليط   حقن   استقرار مخاليط : Foscarnet sodium     
حاوية مذيب تركيز مركب درجة الحرارة تخزين مدة الاستقرار مراجع
لم يتم تحديد كلوريد الصوديوم 0.9% 12 mg/ml
حقن   Foscarnet sodium   
حقن   Potassium chloride 20 >> 80 mEq/l
25°C
65 ساعة
لم يتم تحديد 246
D مستوى الأدلة

  Mentions Légales