Letztes “update” :
31/03/2026
Antiviral   Foscarnet sodium  
Injektion
Stabilität der Lösung Gemengestabilität Stabilitätbeeinflussende Faktoren Kompatibilitäten Applikationsart Literaturverzeichnis pdf
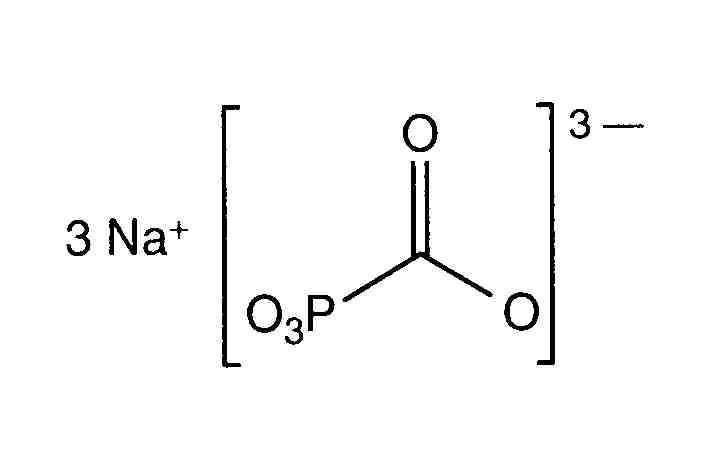
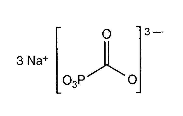
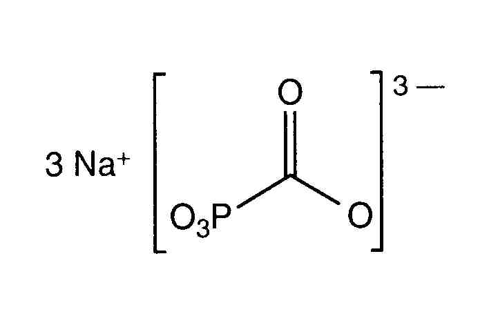
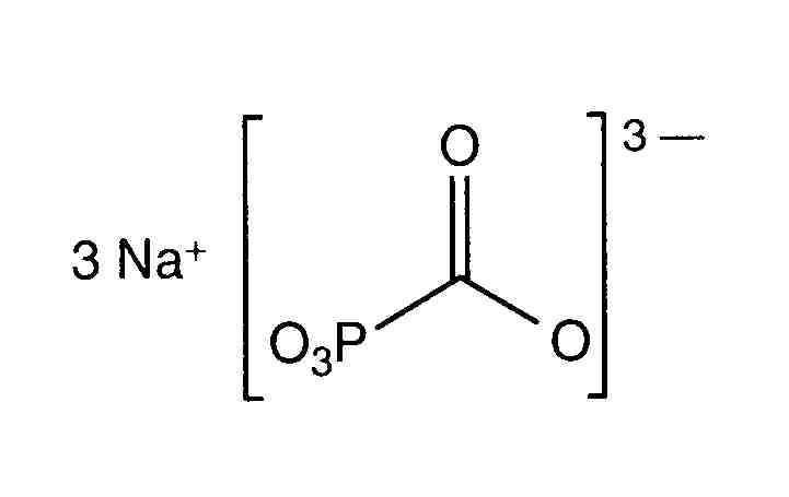
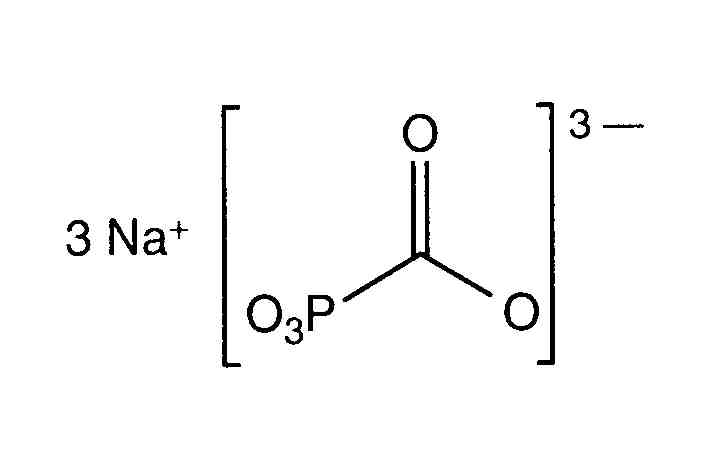
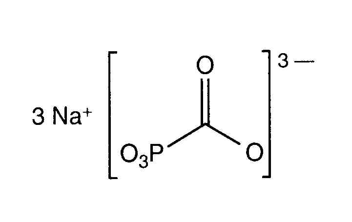
   Chemische Struktur  

Handelsmarke   Handelsmarke     

Handelsnamen sind als beispielhaft anzusehen. Sonstige Bestandteile können je nach Hersteller oder Land verschieden sein

Foscarnet Argentinien, Chile, Ecuador, Kolumbien, Mexiko, Peru, Portugal, Spanien, Vereinigte Staaten von Amerika
Foscavir Australien, Belgien, Deutschland, Frankreich, Griechenland, Großbritannien, Italien, Luxemburg, Neuseeland, Niederlande, Österreich, Schweden, Schweiz, Spanien, Ungarn, Vereinigte Staaten von Amerika
Gemengestabilität   Injektion   Gemengestabilität : Foscarnet sodium     
Behälter Lösungsmittel Konzentration Molekül Temperatur Konservierung Dauer der Stabilität Literaturverzeichnis
Nicht genau angegeben 0,9% Natriumchlorid 12 mg/ml
Injektion   Foscarnet sodium   
Injektion   Potassium chloride 20 >> 80 mEq/l
25°C
65 Stunde
Nicht genau angegeben 246
Evidenzgrad D

  Mentions Légales