Dernière mise à jour :
31/03/2026
Antiviral   Foscarnet sodium  
injectable
Stabilité des solutions Stabilité en mélange Facteur influençant la stabilité Compatibilités Voie d’administration Bibliographie pdf
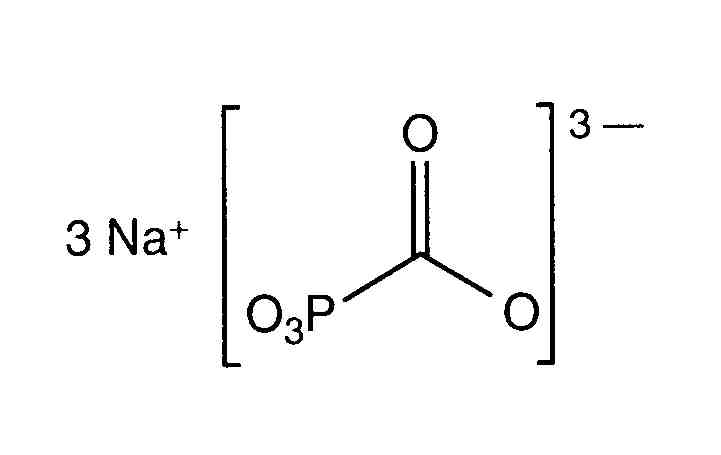
   Structure chimique  

Noms commerciaux   Noms commerciaux     

Les noms commerciaux sont donnés à titre indicatif et la composition en excipients peut être différente selon les pays et selon les laboratoires

Foscarnet Argentine, Chili, Colombie, Equateur, Espagne, Etats Unis d’Amérique, Mexique, Pérou, Portugal
Foscavir Allemagne, Australie, Autriche, Belgique, Espagne, Etats Unis d’Amérique, France, Grande Bretagne, Grèce, Hongrie, Italie, Luxembourg, Nouvelle Zélande, Pays bas, Suède, Suisse
Stabilité en mélange   injectable   Stabilité en mélange : Foscarnet sodium     
Contenant Solvant Concentration Molécule Température Conservation Durée de stabilité Bibliographie
Non précisé Chlorure de sodium 0,9% 12 mg/ml
injectable   Foscarnet sodium   
injectable   Potassium chloride 20 >> 80 mEq/l
25°C
65 Heure
Non précisée 246
Niveau de preuve D

  Mentions Légales