Poslední aktualizace :
31/03/2026
Antivirotikum   Foscarnet sodium  
injekce
Stabilita roztoků Stabilita směsí Faktory ovlivňující stabilitu Kompatibilita Způsoby aplikace Odkazy pdf
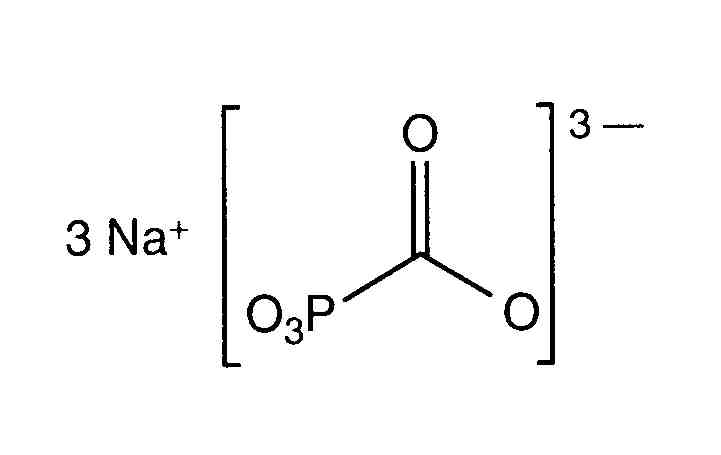
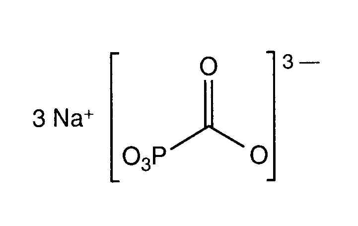
   Chemický vzorec  

Obchodní název   Obchodní název     

Trade names are indicative and excipients composition can be different depending on the country and manufacturers

Foscarnet äpanÏlsko, Argentina, Chile, Ekvádor, Kolumbie, Mexiko, Peru, Portugalsko, USA
Foscavir äpanÏlsko, Austrálie, Belgie, Francie, Itálie, Lucembursko, MaÔarsko, NÏmecko, Nizozemsko, nový Zéland, Rakousko, Švédsko, Švýcarsko, USA, Velká Británie, ÿecko
Stabilita směsí   injekce   Stabilita směsí : Foscarnet sodium     
Obal RozpouötÏdlo Koncentrace SlouËenina Teplota Uchovávání Trvání stability Odkazy
Nespecifikováno Chlorid sodný 0,9% 12 mg/ml
injekce   Foscarnet sodium   
injekce   Potassium chloride 20 >> 80 mEq/l
25°C
65 Hodina
Nespecifikováno 246
Úroveň zkoušky D

  Mentions Légales