Последно актуализиране :
31/03/2026
Противовирусно средство   Foscarnet sodium  
Инжекция/Инжекционен
Стабилност на разтвори Стабилност на смеси Фактори, повлияващи стабилността Съвместимост Път на въвеждане Библиография Pdf
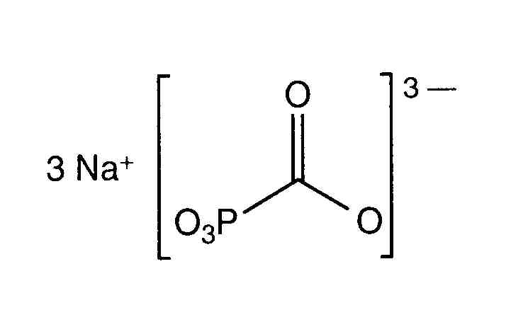
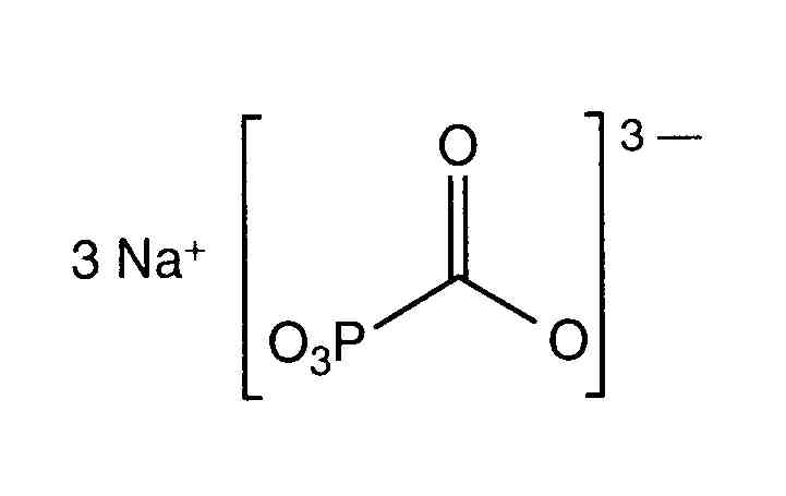
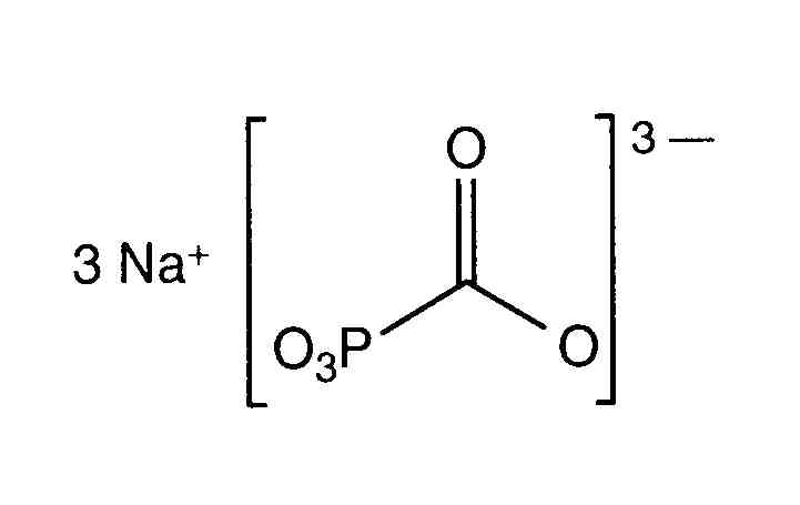
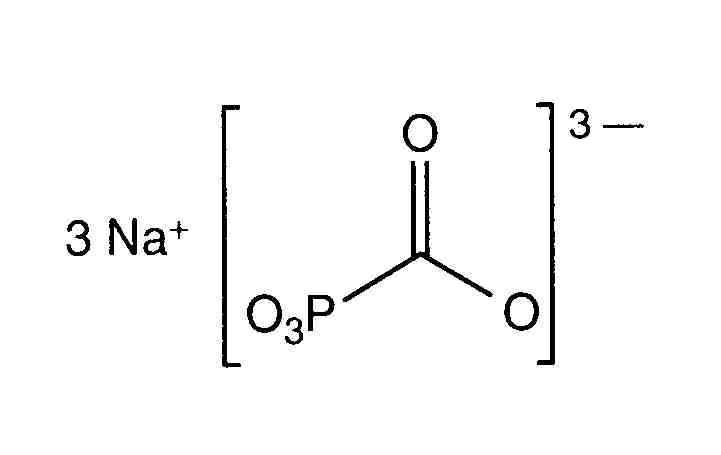
   Химична структура  

Търговско наименование   Търговско наименование     

Търговските имена са примерни и съставът на помощните вещества може да бъде различен в зависимост от държавата и лабораториите

Foscarnet Аржентина, Еквадор, Испания, Колумбия, Мексико, Перу, Португалия, Съединени Американски щати / САЩ, Чили
Foscavir Австралия, Австрия, Белгия, Великобритания, Германия, Гърция, Испания, Италия, Люксенбург, нова Зеландия, Съединени Американски щати / САЩ, Унгария, Франция, Холандия, Швейцария, Швеция
Стабилност на смеси   Инжекция/Инжекционен   Стабилност на смеси : Foscarnet sodium     
Контейнер Разтворител Концентрация Състав / молекула Температура Съхранение Продължителност на стабилността Библиография
Не е уточнено Sodium chloride 0,9% 12 mg/ml
Инжекция/Инжекционен   Foscarnet sodium   
Инжекция/Инжекционен   Potassium chloride 20 >> 80 mEq/l
25°C
65 Час
Не е уточнено 246
Степен на доказаност D

  Mentions Légales