Viimeisin päivitys :
31/03/2026
Viruslääkkeet   Foscarnet sodium  
Injektioneste
Stabilius liuoksessa Stabilius seoksissa Tekijät, jotka vaikuttavat stabiliuteen Yhteensopivuus Antotapa Viitteet pdf
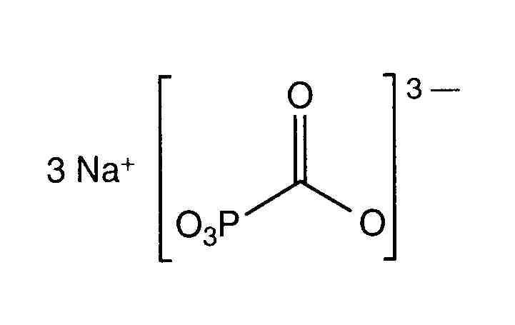
   Kemiallinen rakenne  

Kauppanimi   Kauppanimi     

Trade names are indicative and excipients composition can be different depending on the country and manufacturers

Foscarnet Argentiina, Chile, Ecuador, Espanja, Kolumbia, Marokko, Meksiko, Portugali, Yhdysvallat
Foscavir Australia, Belgia, Espanja, Hollanti, Iso-Britannia, Italia, Itävalta, Kreikka, Luxemburg, New Zealand, Ranska, Ruotsi, Saksa, Sveitsi, Unkari, Yhdysvallat
Stabilius seoksissa   Injektioneste   Stabilius seoksissa : Foscarnet sodium     
Astia Liuotin Konsentraatio Yhdiste Lämpötila Säilytys Vakauden kesto Viitteet
Ei määritetty Natriumkloridi 0,9% 12 mg/ml
Injektioneste   Foscarnet sodium   
Injektioneste   Potassium chloride 20 >> 80 mEq/l
25°C
65 tunti
Ei määritetty 246
Näytön laajuus D

  Mentions Légales