Ultimo aggiornamento :
31/03/2026
Antivirale   Foscarnet sodium  
Iniezione
Stabilità in soluzione Stabilità in miscela Fattori che influenzano la stabilità Compatibilità metodo di iniezione Bibliografia pdf
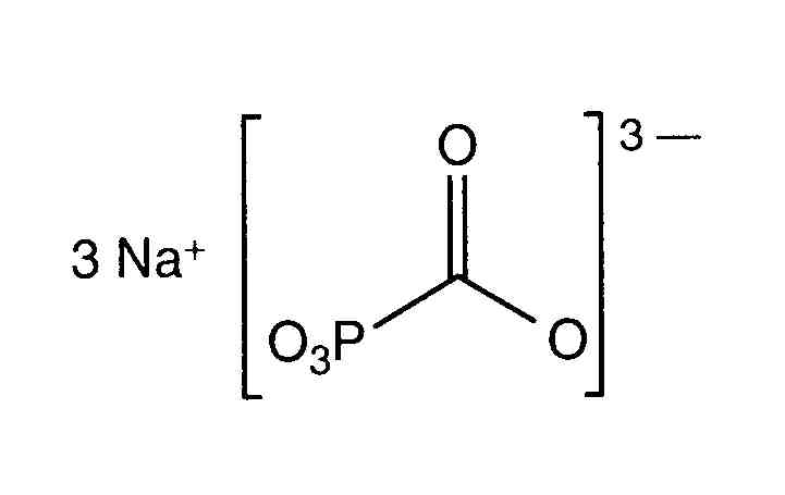
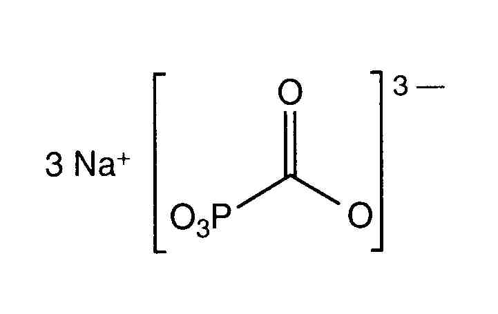
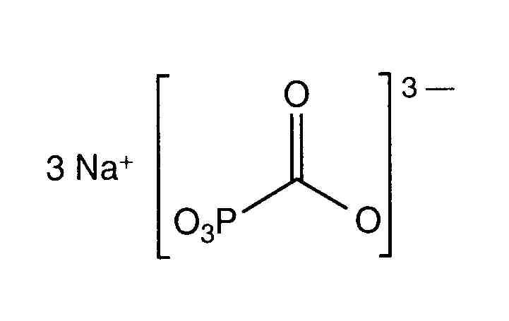
   Struttura chimica  

Nome commerciale   Nome commerciale     

Trade names are indicative and excipients composition can be different depending on the country and manufacturers

Foscarnet Argentina, Chile, Colombia, Ecuador, Messico, Perù, Portogallo, Spagna, Stati Uniti d’America
Foscavir Australia, Austria, Belgio, Francia, Germania, Gran Bretagna, Grecia, Italia, Lussemburgo, nuova Zelanda, Paesi Bassi, Spagna, Stati Uniti d’America, Svezia, Svizzera, Ungheria
Stabilità in miscela   Iniezione   Stabilità in miscela : Foscarnet sodium     
contenitore Solvente Concentrazione Molecola Temperatura Conservazione Durata della stabilità Bibliografia
Non precisato Cloruro di sodio 0,9% 12 mg/ml
Iniezione   Foscarnet sodium   
Iniezione   Potassium chloride 20 >> 80 mEq/l
25°C
65 Ora
Non precisata 246
Livello di evidenza D

  Mentions Légales