Seneste opdatering :
31/03/2026
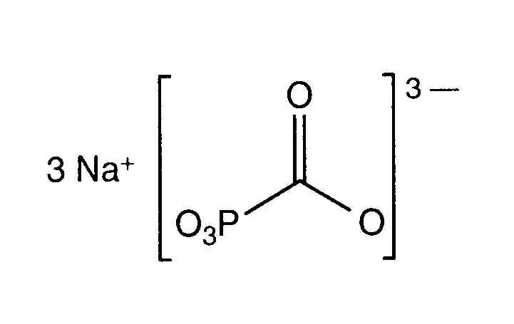
Antiviral   Foscarnet sodium  
Injektion
Stabilitet i (vandige) opløsninger Stabilitet i blandinger Faktorer der påvirker stabiliteten Kompatibilitet Administrationsvej Bibliografi pdf
   Kemisk struktur  

Handelsnavn   Handelsnavn     

Handel navne er vejledende og hjælpestoffer sammensætning kan være forskellig afhængigt af landet og laboratorier

Foscarnet Argentina, Chile, Colombia, Ecuador, Marokko, Mexico, Portugal, Spanien, USA
Foscavir Australien, Belgien, Frankrig, Grækenland, Holland, Italien, Luxemborg, New Zealand, Schweiz, Spanien, Storbritanien, Sverige, Tyskland, Ungarn, USA, Østrig
Stabilitet i blandinger   Injektion   Stabilitet i blandinger : Foscarnet sodium     
Beholder Opløsningsmiddel Koncentration Molekyle Temperatur Konservering Varighed af stabilitet Bibliografi
Ikke angivet nærmere 0,9 % Natriumklorid 12 mg/ml
Injektion   Foscarnet sodium   
Injektion   Potassium chloride 20 >> 80 mEq/l
25°C
65 Time
Ikke nærmere angivet 246
Level af bevismateriale D

  Mentions Légales