Ostatnia aktualizacja :
31/03/2026
Lek przeciwwirusowy   Foscarnet sodium  
Injekcje
Trwałość roztworów Trwałość w mieszaninie Czynnik wpływający na trwałość Zgodność Sposób podania Bibliografia pdf
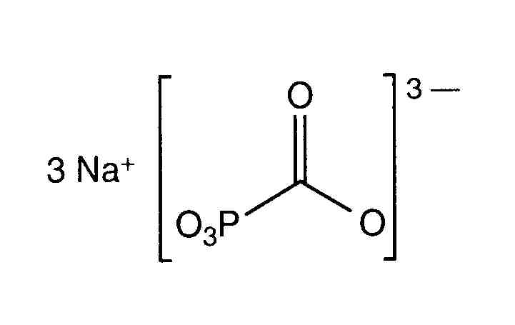
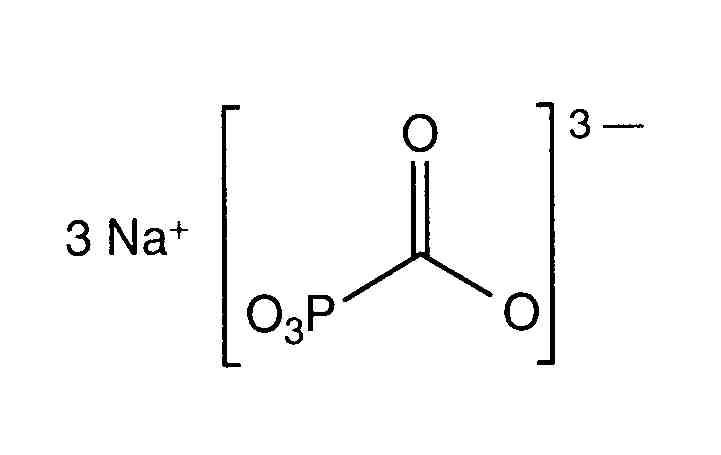
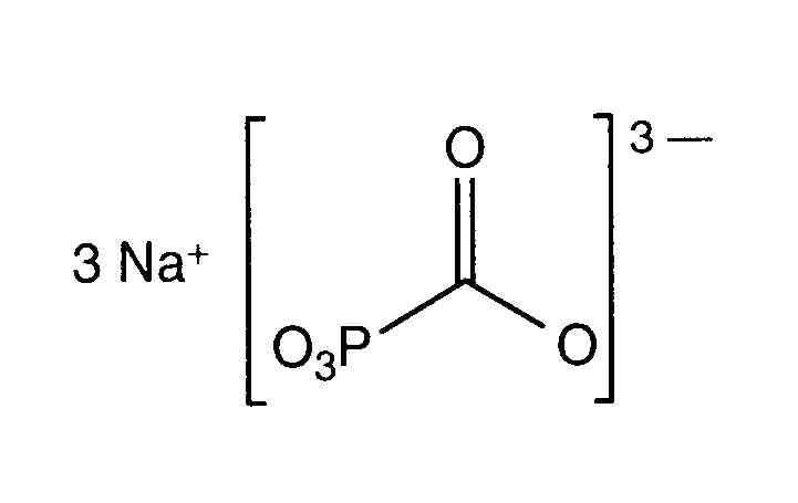
   Struktura chemiczna  

Nazwa handlowa   Nazwa handlowa     

Trade names are indicative and excipients composition can be different depending on the country and manufacturers

Foscarnet Argentyna, Chile, Ekwador, Hiszpania, KolumbiaKolumbia, Meksyk, Peru, Portugalia, Stany Zjednoczone Ameryki
Foscavir Australia, Austria, Belgia, Francja , Grecja, Hiszpania, Holandia, Luksemburg, Niemcy, nowa Zelandia, Stany Zjednoczone Ameryki, Szwajcaria, Szwecja, Węgry, Wielka Brytania, Włochy
Trwałość w mieszaninie   Injekcje   Trwałość w mieszaninie : Foscarnet sodium     
Pojemnik Rozpuszczalnik Stężenie Związek Temperatura Przechowywanie Czas trwania stabilności Bibliografia
Brak informacji Chlorek sodu 0,9% 12 mg/ml
Injekcje   Foscarnet sodium   
Injekcje   Potassium chloride 20 >> 80 mEq/l
25°C
65 Godzina
Nie wyszczególniony 246
Poziom wiarygodności D

  Mentions Légales