Τελευταία ενημέρωση :
31/03/2026
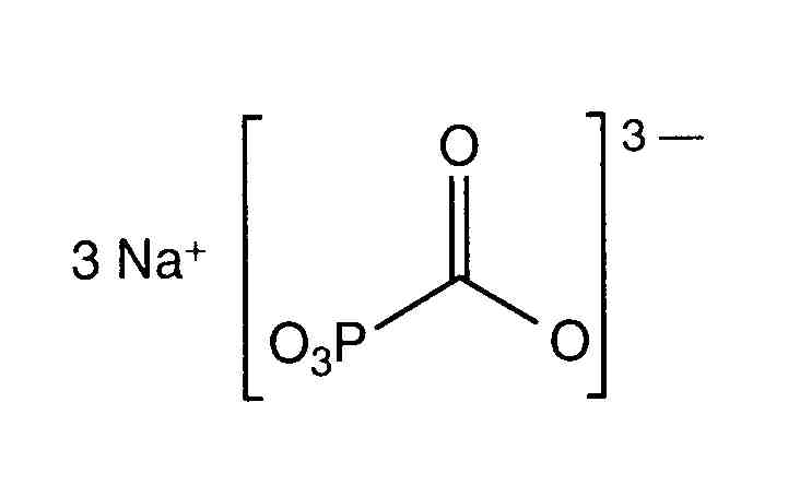
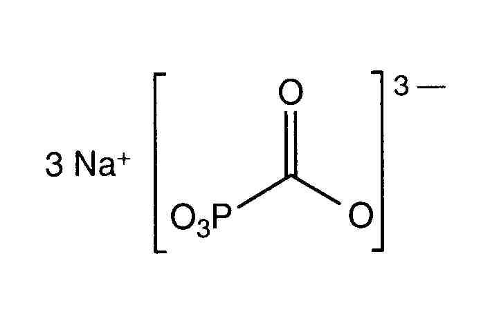
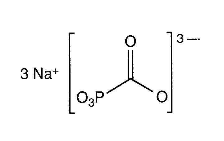
Αντιιικό   Foscarnet sodium  
Ενέσιμο
Σταθερότητα διαλυμάτων Σταθερότητα σε μίγματα Παράγοντας που επηρεάζει τη σταθερότητα Συμβατότητες Τρόπος χορήγησης Βιβλιογραφία pdf
   χημική δομή  

Εμπορική ονομασία   Εμπορική ονομασία     

Οι εμπορικές ονομασίες είναι ενδεικτικές και η σύνθεση των εκδόχων μπορεί να διαφέρει ανάλογα με τη χώρα και τα εργαστήρια

Foscarnet Αργεντινή, Εκουαδόρ, Η.Π.Α., Ισπανία, Κολομβία, Μεξικό, Περού, Πορτογαλία, Χιλή
Foscavir Αυστραλία, Αυστρία, Βέλγιο, Γαλλία, Γερμανία, Ελβετία, Ελλάδα, Η.Π.Α., Ισπανία, Ιταλία, Λουξεμβούργο, Μεγάλη Βρετανία, νέα Ζηλανδία, Ολλανδία, Ουγγαρία, Σουηδία
Σταθερότητα σε μίγματα   Ενέσιμο   Σταθερότητα σε μίγματα : Foscarnet sodium     
Υποδοχέας Διαλυτικό Συγκέντρωση Συστατικό Θερμοκρασία Αποθήκευση Διάρκεια σταθερότητας Βιβλιογραφία
Απροσδιόριστο Χλωριούχο νάτριο 0,9% 12 mg/ml
Ενέσιμο   Foscarnet sodium   
Ενέσιμο   Potassium chloride 20 >> 80 mEq/l
25°C
65 Ώρα
Απροσδιόριστο 246
Επίπεδο των αποδεικτικών στοιχείων D

  Mentions Légales