zadnja posodobitev :
31/03/2026
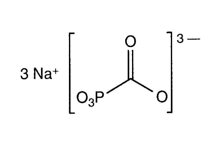
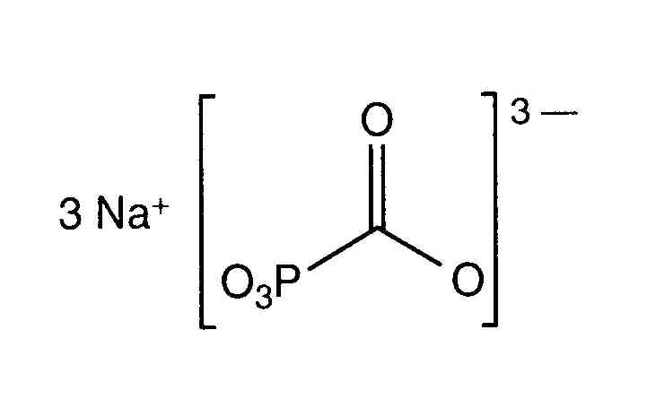
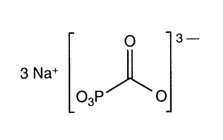
Protivirusno zdravilo   Foscarnet sodium  
Brizgalka
Stabilnost raztopine Stabilnost mešanice Faktorji, ki vplivajo na stabilnost Kompatibilnost način aplikacije Viri pdf
   Kemična formula  

Lastniško ime   Lastniško ime     

Sestava pomožnih snovi je med paralelami lahko različna

Foscarnet Argentina, Čile, Ekvador, Kolumbija, Mehika, Peru, Portugalska, Španija, Združene države Amerike
Foscavir Avstralija, Avstrija, Belgija, Francija, Grčija, Italija, Luksemburg, Madžarska, Nemčija, Nizozemska, nova Zelandija, Španija, Švedska, Švica, Velika Britanija, Združene države Amerike
Stabilnost mešanice   Brizgalka   Stabilnost mešanice : Foscarnet sodium     
Vsebnik Topilo Koncentracija Sestava Temperatura Shranjevanje Trajanje stabilnosti Viri
Nedoločeno Natrijev klorid 0,9% 12 mg/ml
Brizgalka   Foscarnet sodium   
Brizgalka   Potassium chloride 20 >> 80 mEq/l
25°C
65 čas
Nedoločeno 246
 Stopnja dokaza D

  Mentions Légales