Last update :
31/03/2026
Antiviral   Foscarnet sodium  
injection
Stability in solutions Stability of mixtures Factors which affect stability Compatibility Route of administration References pdf
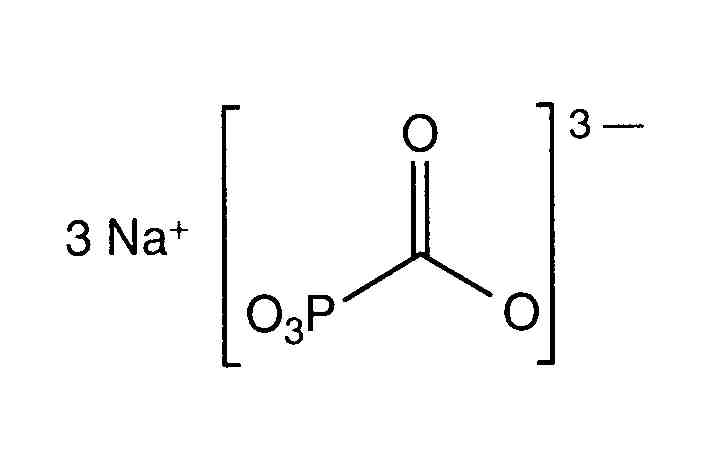
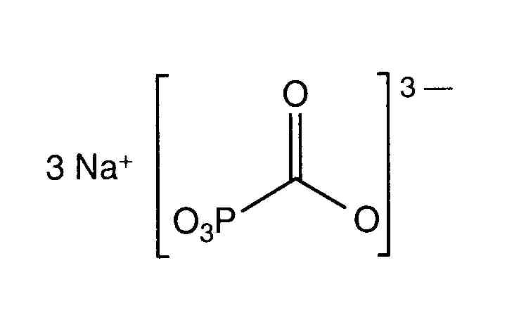
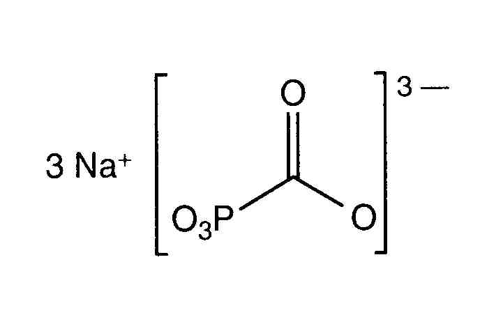
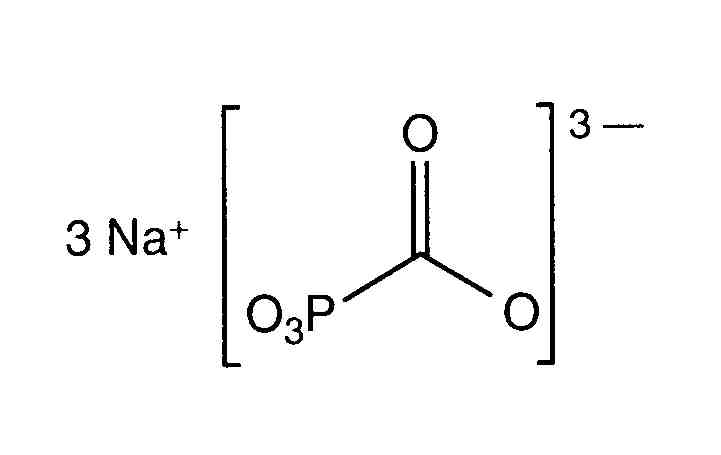
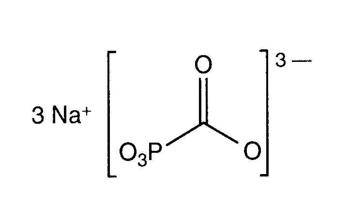
   Chemical structure  

Tradename   Tradename     

Trade names are indicative and excipients composition can be different depending on the country and manufacturers

Foscarnet Argentina, Chile, Colombia, Ecuador, Mexico, Peru, Portugal, Spain, United States of America
Foscavir Australia, Austria, Belgium, France, Germany, Great Britain, Greece, Hungary, Italy, Luxembourg, Netherlands, New Zealand, Spain, Sweden, Switzerland, United States of America
Stability of mixtures   injection   Stability of mixtures : Foscarnet sodium     
Container Solvent Concentration Compound Temperature Storage Duration of stability References
Not specified Sodium chloride 0,9% 12 mg/ml
injection   Foscarnet sodium   
injection   Potassium chloride 20 >> 80 mEq/l
25°C
65 Hour
Not specified 246
Level of evidence D

  Mentions Légales