Zadnji put ažurirano :
31/03/2026
protuvirusan   Foscarnet sodium  
injekcija
Stabilizacija rješenja Stabilnost mješavine Stabilizacijski faktor Kompatibilnosti način davanja lijeka Bibliografija pdf
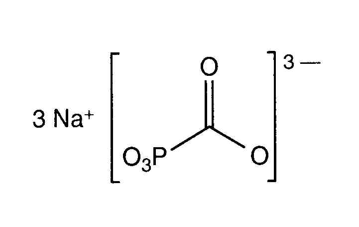
   Kemijska struktura  

Nekomercijalni   Nekomercijalni     

Zaštićeni nazivi su indikativni i sastav ekscipijensa može biti različit ovisno o državi i laboratorijima

Foscarnet Argentina, Čile, Ekvador, Kolumbija, Meksiko, Peru, Portugal, S A D, Španjolska
Foscavir Australija, Austrija, Belgija, Francuska, Grčka, Italija, Luksemburg, Madžarska, Nizozemska, Njemačka, novi Zeland, S A D, Španjolska, Švedska, Švicarska, Velika Britanija
Stabilnost mješavine   injekcija   Stabilnost mješavine : Foscarnet sodium     
Kontejner sredstvo za rastapanje koncentracija molekula temperatura Konzerviranje Trajanje stabilnosti Bibliografija
nespecifičan natrijumkorid 0,9% 12 mg/ml
injekcija   Foscarnet sodium   
injekcija   Potassium chloride 20 >> 80 mEq/l
25°C
65 sat
nespecifičan 246
Razina dokaza D

  Mentions Légales