最新更新 :
31/03/2026
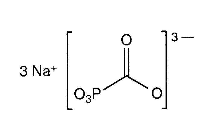
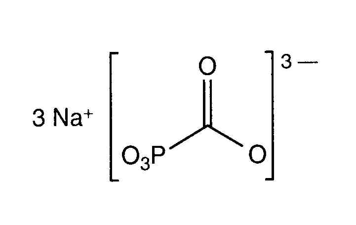
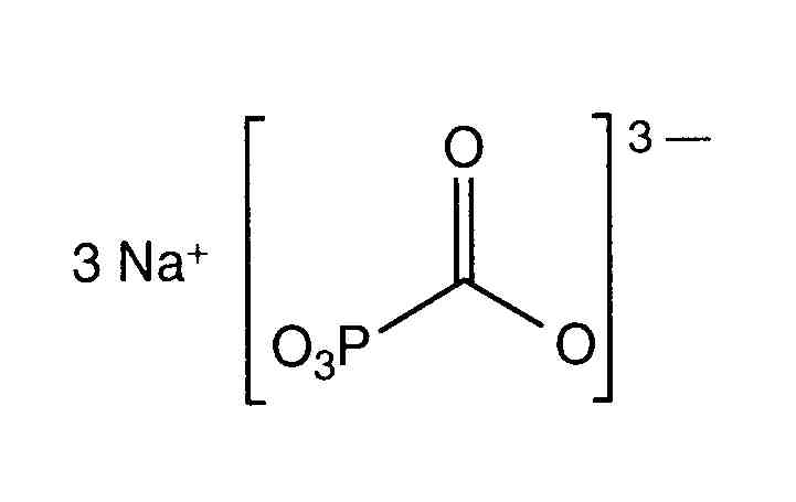
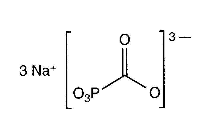
抗病毒药   Foscarnet sodium  
注射液
溶液稳定性 混合物稳定性 影响稳定性的因素 兼容性 用药途径 引用文献 PDF
   化学式  

商品名   商品名     

商品名仅供参考, 药品所用的辅料可能依国家或厂商不同有所不同。

Foscarnet 厄瓜多尔, 哥伦比亚, 墨西哥, 智利, 秘鲁, 美国, 葡萄牙, 西班牙, 阿根廷
Foscavir 匈牙利, 卢森堡, 奥地利, 希腊, 德国, 意大利, 新西蘭, 比利时, 法国, 澳大利亚, 瑞典, 瑞士, 美国, 英国, 荷兰, 西班牙
混合物稳定性   注射液   混合物稳定性 : Foscarnet sodium     
容器 溶剂 浓度 分子 温度 保存 穩定持續時間 引用文献
不详 NaCl 0,9% 12 mg/ml
注射液   Foscarnet sodium   
注射液   Potassium chloride 20 >> 80 mEq/l
25°C
65 小时
无特殊要求 246
D级

  Mentions Légales