Останнє оновлення :
18/03/2026
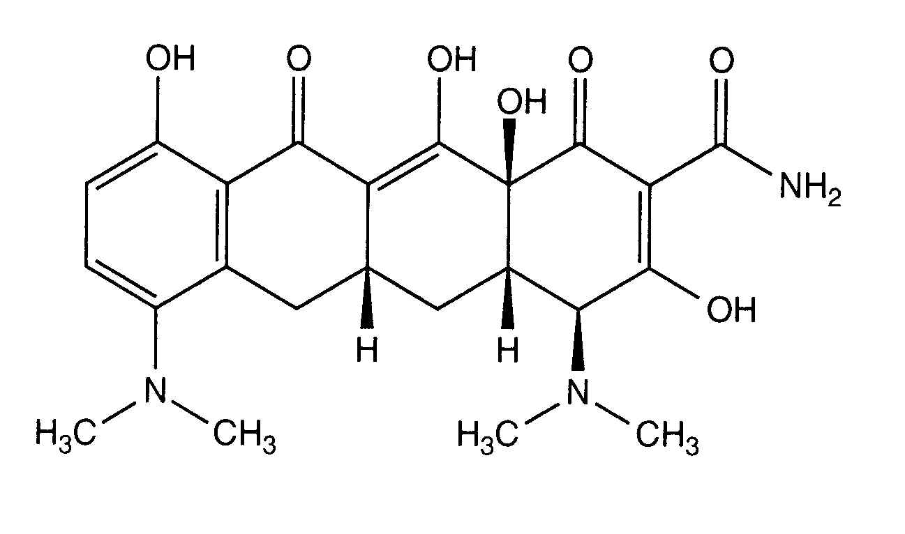
Антибіотик   Minocycline hydrochloride  
ін'єкція
Розчин для перорального застосування
Стійкість в розчинах Стійкість сумішей Фактори, що впливають на стабільність Сумісність Шлях введення Список літератури pdf
   Хімічна структура  

Торгова назва   Торгова назва     

Торгові назви є орієнтовними, а склад допоміжних речовин може бути різним залежно від країни та виробника

Minocin Сполучені Штати Америки
Сумісність   ін'єкція   Сумісність : Minocycline hydrochloride              
explication_incompatibilite_molecules
З'єднання Розчинник Список літератури
Зміна кольору через 4 години Несумісні
ін'єкція Minocycline hydrochloride 0.2 mg/ml
ін'єкція Allopurinol sodium 3 mg/ml
Натрію хлорид 0,9% 307
Миттєві опади Несумісні
ін'єкція Minocycline hydrochloride
ін'єкція Calcium chloride
5058
Миттєві опади Несумісні
ін'єкція Minocycline hydrochloride
ін'єкція Calcium glucoheptonate
5058
Неуточнена несумісність Несумісні
ін'єкція Minocycline hydrochloride
ін'єкція Calcium gluconate
3644
Миттєві опади Несумісні
ін'єкція Minocycline hydrochloride
ін'єкція Calcium gluconate
5058
сумісний
ін'єкція Minocycline hydrochloride 0.2 mg/ml
ін'єкція Cisatracurium besylate 0.1 >> 5 mg/ml
Глюкоза 5% 299
сумісний
ін'єкція Minocycline hydrochloride 0.2 mg/ml
ін'єкція Docetaxel 0.9 mg/ml
Глюкоза 5% 1754
Неуточнена несумісність Несумісні
ін'єкція Minocycline hydrochloride
ін'єкція Erythromycin lactobionate
3674
сумісний
ін'єкція Minocycline hydrochloride 0.2 mg/ml
ін'єкція Etoposide phosphate 5 mg/ml
Глюкоза 5% 1410
сумісний
ін'єкція Minocycline hydrochloride 0.2 mg/ml
ін'єкція Filgrastim 30 µg/ml
Глюкоза 5% 244
Миттєві опади Несумісні
ін'єкція Minocycline hydrochloride 1 mg/ml
Парентеральне харчування (ліпідами) 4440
Зміна кольору Несумісні
ін'єкція Minocycline hydrochloride 0.2 mg/ml
ін'єкція Amifostine 10 mg/ml
Глюкоза 5% 3
сумісний
ін'єкція Minocycline hydrochloride 0.2 mg/ml
ін'єкція Aztreonam 40 mg/ml
Глюкоза 5% 99
сумісний
ін'єкція Minocycline hydrochloride 0.2 mg/ml
ін'єкція Fludarabine phosphate 1 mg/ml
Глюкоза 5% 492
Миттєві опади Несумісні
ін'єкція Minocycline hydrochloride
ін'єкція Folinate calcium
5058
сумісний
ін'єкція Minocycline hydrochloride 0.2 mg/ml
ін'єкція Gemcitabine hydrochloride 10 mg/ml
Натрію хлорид 0,9% 1423
сумісний
ін'єкція Minocycline hydrochloride 0.2 mg/ml
ін'єкція Granisetron hydrochloride 0.05 mg/ml
Глюкоза 5% 182
сумісний
ін'єкція Minocycline hydrochloride 0.2 mg/ml
ін'єкція Heparin sodium 1 UI/ml
Розчин лактату Рінгера 1228
сумісний
ін'єкція Minocycline hydrochloride 0.2 mg/ml
ін'єкція Heparin sodium 1 UI/ml
Натрію хлорид 0,9% 1228
сумісний
ін'єкція Minocycline hydrochloride 0.2 mg/ml
ін'єкція Heparin sodium 1 UI/ml
Глюкоза 5% 1228
сумісний
ін'єкція Minocycline hydrochloride 50 mg/ml
ін'єкція Hydrocortisone sodium succinate 1 mg/ml
Глюкоза 5% 1228
сумісний
ін'єкція Minocycline hydrochloride 50 mg/ml
ін'єкція Hydrocortisone sodium succinate 1 mg/ml
Розчин лактату Рінгера 1228
сумісний
ін'єкція Minocycline hydrochloride 50 mg/ml
ін'єкція Hydrocortisone sodium succinate 1 mg/ml
Натрію хлорид 0,9% 1228
Зміна кольору через 1 годину Несумісні
ін'єкція Minocycline hydrochloride 0.2 mg/ml
ін'єкція Hydromorphone hydrochloride 0.2 mg/ml
Глюкоза 5% 405
Миттєві опади Несумісні
ін'єкція Minocycline hydrochloride
ін'єкція Levofolinate calcium
5058
сумісний
ін'єкція Minocycline hydrochloride 0.2 mg/ml
ін'єкція Linezolid 2 mg/ml
Жодного 1925
сумісний
ін'єкція Minocycline hydrochloride 0.2 mg/ml
ін'єкція Magnesium sulfate 16.67 >> 100 mg/ml
Глюкоза 5% 1047
сумісний
ін'єкція Minocycline hydrochloride 0.2 mg/ml
ін'єкція Melphalan 0.1 mg/ml
Натрію хлорид 0,9% 169
Неуточнена несумісність Несумісні
ін'єкція Minocycline hydrochloride
ін'єкція Mitomycin
4471
Хімічна нестійкість Несумісні
ін'єкція Minocycline hydrochloride
ін'єкція Mitomycin
3128
Зміна кольору через 1 годину Несумісні
ін'єкція Minocycline hydrochloride 0.2 mg/ml
ін'єкція Morphine sulfate 1 mg/ml
Глюкоза 5% 405
Неуточнена несумісність Несумісні
ін'єкція Minocycline hydrochloride
ін'єкція Morphine sulfate
3531
Зміна кольору через 4 години Несумісні
ін'єкція Minocycline hydrochloride 0.2 mg/ml
ін'єкція Pemetrexed disodium 20 mg/ml
Натрію хлорид 0,9% 1953
Зміна кольору через 1 годину Несумісні
ін'єкція Minocycline hydrochloride 0.2 mg/ml
ін'єкція Pethidine hydrochloride 10 mg/ml
Глюкоза 5% 405
Миттєві опади Несумісні
ін'єкція Minocycline hydrochloride 1 mg/ml
ін'єкція Piperacillin sodium / tazobactam 40/5 mg/ml
Глюкоза 5% 81
сумісний
ін'єкція Minocycline hydrochloride 50 mg/ml
ін'єкція Potassium chloride 40 mEq/l
Глюкоза 5% 1228
сумісний
ін'єкція Minocycline hydrochloride 50 mg/ml
ін'єкція Potassium chloride 40 mEq/l
Натрію хлорид 0,9% 1228
сумісний
ін'єкція Minocycline hydrochloride 50 mg/ml
ін'єкція Potassium chloride 40 mEq/l
Розчин лактату Рінгера 1228
сумісний
ін'єкція Minocycline hydrochloride 0.2 mg/ml
ін'єкція Teniposide 0.1 mg/ml
Глюкоза 5% 905
Негайна нестійкість емульсії Несумісні
ін'єкція Minocycline hydrochloride 0.2 mg/ml
Парентеральне харчування (ліпідами) 1415
Миттєві опади Несумісні
ін'єкція Minocycline hydrochloride 0.2 mg/ml
ін'єкція Propofol 10 mg/ml
Жодного 300
сумісний
ін'єкція Minocycline hydrochloride 0.2 mg/ml
ін'єкція Remifentanil hydrochloride 25 & 250 µg/ml
Натрію хлорид 0,9% 59
сумісний
ін'єкція Minocycline hydrochloride 0,1 mg/ml
ін'єкція Rifampicin 0,1 mg/ml
Натрію хлорид 0,9% 263
сумісний
ін'єкція Minocycline hydrochloride 0.2 mg/ml
ін'єкція Sargramostim 10 µg/ml
Натрію хлорид 0,9% 335
сумісний
ін'єкція Minocycline hydrochloride 0,4 mg/ml
ін'єкція Sulbactam/durlobactam 15/15 mg/ml
Натрію хлорид 0,9% 4801
Зміна кольору через 1 годину Несумісні
ін'єкція Minocycline hydrochloride 0.2 mg/ml
ін'єкція Thiotepa 1 mg/ml
Глюкоза 5% 249
сумісний
ін'єкція Minocycline hydrochloride
Розчин лактату Рінгера 5058
сумісний
ін'єкція Minocycline hydrochloride
Глюкоза 5% 5058
сумісний
ін'єкція Minocycline hydrochloride
Натрію хлорид 0,9% 5058
сумісний
ін'єкція Minocycline hydrochloride 0.2 mg/ml
ін'єкція Vinorelbine tartrate 1 mg/ml
Натрію хлорид 0,9% 84
Зміна кольору Несумісні
ін'єкція Minocycline hydrochloride 0.2 mg/ml
Парентеральне харчування (бінарна суміш) 301

  Mentions Légales