最新更新 :
18/03/2026
抗菌薬   Minocycline hydrochloride  
注射薬
経口液
溶媒内の安定性 混合時の安定性 安定性に影響する因子 互換性 投与経路 引用文献 PDF
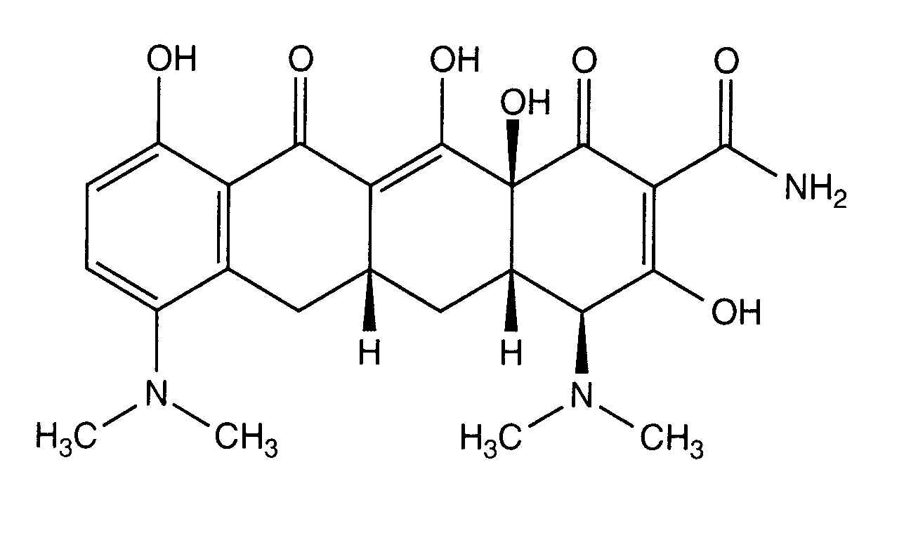
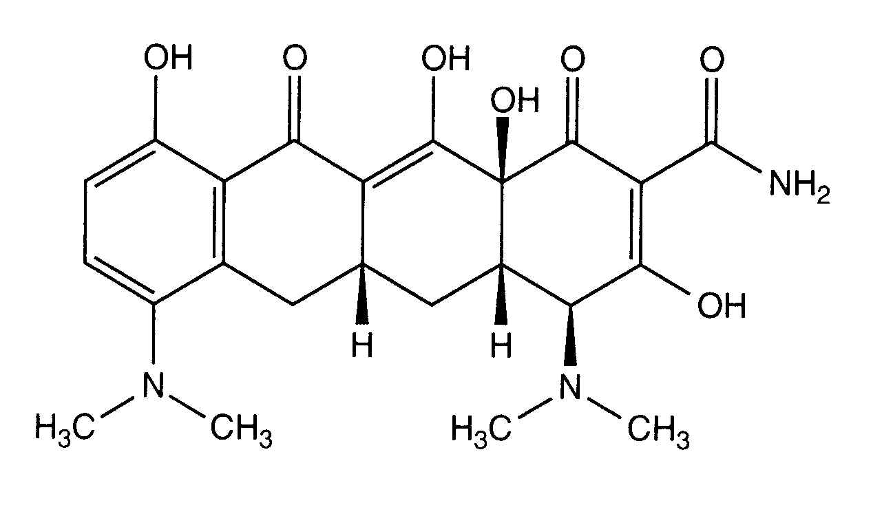
   化学構造  

商品名   商品名     

商品名、賦形剤は国、製薬会社ごとに異なることがあります

Minocin アメリカ
互換性   注射薬   互換性 : Minocycline hydrochloride              
This screen indicates the compatibilities or incompatibilities with, in this case, the type of incompatibility (precipitation, color change, modification of an emulsion, etc.). The compatibilities shown here are mostly physical only, with the chemical stability of each molecule rarely being assessed. The evaluation of these mixtures was studied to consider the possibility of Y-site administration to the patient. These data cannot be used for making mixtures in advance in bags or syringes. This type of information is available in the screen "Stability in mixture ».
化合物 溶媒 引用文献
4時間後の色の変化 非互換
注射薬 Minocycline hydrochloride 0.2 mg/ml
注射薬 Allopurinol sodium 3 mg/ml
NaCl 0,9% 307
即時降水 非互換
注射薬 Minocycline hydrochloride
注射薬 Calcium chloride
5058
即時降水 非互換
注射薬 Minocycline hydrochloride
注射薬 Calcium glucoheptonate
5058
不特定の非互換性 非互換
注射薬 Minocycline hydrochloride
注射薬 Calcium gluconate
3644
即時降水 非互換
注射薬 Minocycline hydrochloride
注射薬 Calcium gluconate
5058
対応
注射薬 Minocycline hydrochloride 0.2 mg/ml
注射薬 Cisatracurium besylate 0.1 >> 5 mg/ml
グルコース5% 299
対応
注射薬 Minocycline hydrochloride 0.2 mg/ml
注射薬 Docetaxel 0.9 mg/ml
グルコース5% 1754
不特定の非互換性 非互換
注射薬 Minocycline hydrochloride
注射薬 Erythromycin lactobionate
3674
対応
注射薬 Minocycline hydrochloride 0.2 mg/ml
注射薬 Etoposide phosphate 5 mg/ml
グルコース5% 1410
対応
注射薬 Minocycline hydrochloride 0.2 mg/ml
注射薬 Filgrastim 30 µg/ml
グルコース5% 244
即時降水 非互換
注射薬 Minocycline hydrochloride 1 mg/ml
非経口的栄養(脂肪含む) 4440
色変更 非互換
注射薬 Minocycline hydrochloride 0.2 mg/ml
注射薬 Amifostine 10 mg/ml
グルコース5% 3
対応
注射薬 Minocycline hydrochloride 0.2 mg/ml
注射薬 Aztreonam 40 mg/ml
グルコース5% 99
対応
注射薬 Minocycline hydrochloride 0.2 mg/ml
注射薬 Fludarabine phosphate 1 mg/ml
グルコース5% 492
即時降水 非互換
注射薬 Minocycline hydrochloride
注射薬 Folinate calcium
5058
対応
注射薬 Minocycline hydrochloride 0.2 mg/ml
注射薬 Gemcitabine hydrochloride 10 mg/ml
NaCl 0,9% 1423
対応
注射薬 Minocycline hydrochloride 0.2 mg/ml
注射薬 Granisetron hydrochloride 0.05 mg/ml
グルコース5% 182
対応
注射薬 Minocycline hydrochloride 0.2 mg/ml
注射薬 Heparin sodium 1 UI/ml
乳酸リンゲル 1228
対応
注射薬 Minocycline hydrochloride 0.2 mg/ml
注射薬 Heparin sodium 1 UI/ml
NaCl 0,9% 1228
対応
注射薬 Minocycline hydrochloride 0.2 mg/ml
注射薬 Heparin sodium 1 UI/ml
グルコース5% 1228
対応
注射薬 Minocycline hydrochloride 50 mg/ml
注射薬 Hydrocortisone sodium succinate 1 mg/ml
グルコース5% 1228
対応
注射薬 Minocycline hydrochloride 50 mg/ml
注射薬 Hydrocortisone sodium succinate 1 mg/ml
乳酸リンゲル 1228
対応
注射薬 Minocycline hydrochloride 50 mg/ml
注射薬 Hydrocortisone sodium succinate 1 mg/ml
NaCl 0,9% 1228
1時間後の色の変化 非互換
注射薬 Minocycline hydrochloride 0.2 mg/ml
注射薬 Hydromorphone hydrochloride 0.2 mg/ml
グルコース5% 405
即時降水 非互換
注射薬 Minocycline hydrochloride
注射薬 Levofolinate calcium
5058
対応
注射薬 Minocycline hydrochloride 0.2 mg/ml
注射薬 Linezolid 2 mg/ml
なし 1925
対応
注射薬 Minocycline hydrochloride 0.2 mg/ml
注射薬 Magnesium sulfate 16.67 >> 100 mg/ml
グルコース5% 1047
対応
注射薬 Minocycline hydrochloride 0.2 mg/ml
注射薬 Melphalan 0.1 mg/ml
NaCl 0,9% 169
不特定の非互換性 非互換
注射薬 Minocycline hydrochloride
注射薬 Mitomycin
4471
化学的不安定性 非互換
注射薬 Minocycline hydrochloride
注射薬 Mitomycin
3128
1時間後の色の変化 非互換
注射薬 Minocycline hydrochloride 0.2 mg/ml
注射薬 Morphine sulfate 1 mg/ml
グルコース5% 405
不特定の非互換性 非互換
注射薬 Minocycline hydrochloride
注射薬 Morphine sulfate
3531
4時間後の色の変化 非互換
注射薬 Minocycline hydrochloride 0.2 mg/ml
注射薬 Pemetrexed disodium 20 mg/ml
NaCl 0,9% 1953
1時間後の色の変化 非互換
注射薬 Minocycline hydrochloride 0.2 mg/ml
注射薬 Pethidine hydrochloride 10 mg/ml
グルコース5% 405
即時降水 非互換
注射薬 Minocycline hydrochloride 1 mg/ml
注射薬 Piperacillin sodium / tazobactam 40/5 mg/ml
グルコース5% 81
対応
注射薬 Minocycline hydrochloride 50 mg/ml
注射薬 Potassium chloride 40 mEq/l
グルコース5% 1228
対応
注射薬 Minocycline hydrochloride 50 mg/ml
注射薬 Potassium chloride 40 mEq/l
NaCl 0,9% 1228
対応
注射薬 Minocycline hydrochloride 50 mg/ml
注射薬 Potassium chloride 40 mEq/l
乳酸リンゲル 1228
対応
注射薬 Minocycline hydrochloride 0.2 mg/ml
注射薬 Teniposide 0.1 mg/ml
グルコース5% 905
エマルジョンの即時の不安定性 非互換
注射薬 Minocycline hydrochloride 0.2 mg/ml
非経口的栄養(脂肪含む) 1415
即時降水 非互換
注射薬 Minocycline hydrochloride 0.2 mg/ml
注射薬 Propofol 10 mg/ml
なし 300
対応
注射薬 Minocycline hydrochloride 0.2 mg/ml
注射薬 Remifentanil hydrochloride 25 & 250 µg/ml
NaCl 0,9% 59
対応
注射薬 Minocycline hydrochloride 0,1 mg/ml
注射薬 Rifampicin 0,1 mg/ml
NaCl 0,9% 263
対応
注射薬 Minocycline hydrochloride 0.2 mg/ml
注射薬 Sargramostim 10 µg/ml
NaCl 0,9% 335
対応
注射薬 Minocycline hydrochloride 0,4 mg/ml
注射薬 Sulbactam/durlobactam 15/15 mg/ml
NaCl 0,9% 4801
1時間後の色の変化 非互換
注射薬 Minocycline hydrochloride 0.2 mg/ml
注射薬 Thiotepa 1 mg/ml
グルコース5% 249
対応
注射薬 Minocycline hydrochloride
乳酸リンゲル 5058
対応
注射薬 Minocycline hydrochloride
グルコース5% 5058
対応
注射薬 Minocycline hydrochloride
NaCl 0,9% 5058
対応
注射薬 Minocycline hydrochloride 0.2 mg/ml
注射薬 Vinorelbine tartrate 1 mg/ml
NaCl 0,9% 84
色変更 非互換
注射薬 Minocycline hydrochloride 0.2 mg/ml
非経口的栄養(二元混合物) 301

  Mentions Légales