Siste oppdatering :
18/03/2026
Antibiotika   Minocycline hydrochloride  
Injeksjon
Mikstur
Oppløsningsstabilitet Stabilitet i blandinger Faktorer som påvirker stabiliteten Kompatibilitet Administrasjonsmåte Referanser pdf
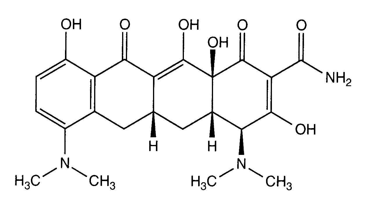
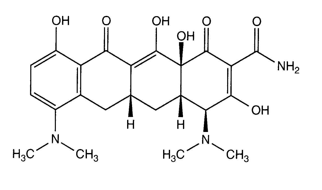
   Kjemisk struktur  

Handelsnavn   Handelsnavn     

Handelsnavn er veiledende og sammensetning av hjelpestoffer kan være forskjellig avhengig av land og produsent

Minocin USA
Kompatibilitet   Injeksjon   Kompatibilitet : Minocycline hydrochloride              
Dette skjermbildet viser kompatibilitet eller inkompatibilitet med, i dette tilfellet, typen inkompatibilitet (nedbør, fargeendring, modifisering av en emulsjon, etc.). Kompatibilitetene som er vist her, er for det meste bare fysiske, og den kjemiske stabiliteten til hvert molekyl blir sjelden vurdert. Evalueringen av disse blandingene ble studert for å vurdere muligheten for Y-stedadministrasjon til pasienten. Disse dataene kan ikke brukes til å lage blandinger på forhånd i poser eller sprøyter. Denne typen informasjon er tilgjengelig på skjermen "Stabilitet i blanding".
Legemiddel Oppløsningsmiddel Referanser
Fargeendring etter 4 timer Uforenlig
Injeksjon Minocycline hydrochloride 0.2 mg/ml
Injeksjon Allopurinol sodium 3 mg/ml
Natriumklorid 0,9 % 307
Umiddelbar nedbør Uforenlig
Injeksjon Minocycline hydrochloride
Injeksjon Calcium chloride
5058
Umiddelbar nedbør Uforenlig
Injeksjon Minocycline hydrochloride
Injeksjon Calcium glucoheptonate
5058
Uspesifisert inkompatibilitet Uforenlig
Injeksjon Minocycline hydrochloride
Injeksjon Calcium gluconate
3644
Umiddelbar nedbør Uforenlig
Injeksjon Minocycline hydrochloride
Injeksjon Calcium gluconate
5058
Kompatibel
Injeksjon Minocycline hydrochloride 0.2 mg/ml
Injeksjon Cisatracurium besylate 0.1 >> 5 mg/ml
Glukose 5 % 299
Kompatibel
Injeksjon Minocycline hydrochloride 0.2 mg/ml
Injeksjon Docetaxel 0.9 mg/ml
Glukose 5 % 1754
Uspesifisert inkompatibilitet Uforenlig
Injeksjon Minocycline hydrochloride
Injeksjon Erythromycin lactobionate
3674
Kompatibel
Injeksjon Minocycline hydrochloride 0.2 mg/ml
Injeksjon Etoposide phosphate 5 mg/ml
Glukose 5 % 1410
Kompatibel
Injeksjon Minocycline hydrochloride 0.2 mg/ml
Injeksjon Filgrastim 30 µg/ml
Glukose 5 % 244
Umiddelbar nedbør Uforenlig
Injeksjon Minocycline hydrochloride 1 mg/ml
Parenteral ernæring (med lipider) 4440
Fargeendring Uforenlig
Injeksjon Minocycline hydrochloride 0.2 mg/ml
Injeksjon Amifostine 10 mg/ml
Glukose 5 % 3
Kompatibel
Injeksjon Minocycline hydrochloride 0.2 mg/ml
Injeksjon Aztreonam 40 mg/ml
Glukose 5 % 99
Kompatibel
Injeksjon Minocycline hydrochloride 0.2 mg/ml
Injeksjon Fludarabine phosphate 1 mg/ml
Glukose 5 % 492
Umiddelbar nedbør Uforenlig
Injeksjon Minocycline hydrochloride
Injeksjon Folinate calcium
5058
Kompatibel
Injeksjon Minocycline hydrochloride 0.2 mg/ml
Injeksjon Gemcitabine hydrochloride 10 mg/ml
Natriumklorid 0,9 % 1423
Kompatibel
Injeksjon Minocycline hydrochloride 0.2 mg/ml
Injeksjon Granisetron hydrochloride 0.05 mg/ml
Glukose 5 % 182
Kompatibel
Injeksjon Minocycline hydrochloride 0.2 mg/ml
Injeksjon Heparin sodium 1 UI/ml
Ringers laktatoppløsning 1228
Kompatibel
Injeksjon Minocycline hydrochloride 0.2 mg/ml
Injeksjon Heparin sodium 1 UI/ml
Natriumklorid 0,9 % 1228
Kompatibel
Injeksjon Minocycline hydrochloride 0.2 mg/ml
Injeksjon Heparin sodium 1 UI/ml
Glukose 5 % 1228
Kompatibel
Injeksjon Minocycline hydrochloride 50 mg/ml
Injeksjon Hydrocortisone sodium succinate 1 mg/ml
Glukose 5 % 1228
Kompatibel
Injeksjon Minocycline hydrochloride 50 mg/ml
Injeksjon Hydrocortisone sodium succinate 1 mg/ml
Ringers laktatoppløsning 1228
Kompatibel
Injeksjon Minocycline hydrochloride 50 mg/ml
Injeksjon Hydrocortisone sodium succinate 1 mg/ml
Natriumklorid 0,9 % 1228
Fargeendring etter 1 time Uforenlig
Injeksjon Minocycline hydrochloride 0.2 mg/ml
Injeksjon Hydromorphone hydrochloride 0.2 mg/ml
Glukose 5 % 405
Umiddelbar nedbør Uforenlig
Injeksjon Minocycline hydrochloride
Injeksjon Levofolinate calcium
5058
Kompatibel
Injeksjon Minocycline hydrochloride 0.2 mg/ml
Injeksjon Linezolid 2 mg/ml
Ingen 1925
Kompatibel
Injeksjon Minocycline hydrochloride 0.2 mg/ml
Injeksjon Magnesium sulfate 16.67 >> 100 mg/ml
Glukose 5 % 1047
Kompatibel
Injeksjon Minocycline hydrochloride 0.2 mg/ml
Injeksjon Melphalan 0.1 mg/ml
Natriumklorid 0,9 % 169
Uspesifisert inkompatibilitet Uforenlig
Injeksjon Minocycline hydrochloride
Injeksjon Mitomycin
4471
Kjemisk ustabilitet Uforenlig
Injeksjon Minocycline hydrochloride
Injeksjon Mitomycin
3128
Fargeendring etter 1 time Uforenlig
Injeksjon Minocycline hydrochloride 0.2 mg/ml
Injeksjon Morphine sulfate 1 mg/ml
Glukose 5 % 405
Uspesifisert inkompatibilitet Uforenlig
Injeksjon Minocycline hydrochloride
Injeksjon Morphine sulfate
3531
Fargeendring etter 4 timer Uforenlig
Injeksjon Minocycline hydrochloride 0.2 mg/ml
Injeksjon Pemetrexed disodium 20 mg/ml
Natriumklorid 0,9 % 1953
Fargeendring etter 1 time Uforenlig
Injeksjon Minocycline hydrochloride 0.2 mg/ml
Injeksjon Pethidine hydrochloride 10 mg/ml
Glukose 5 % 405
Umiddelbar nedbør Uforenlig
Injeksjon Minocycline hydrochloride 1 mg/ml
Injeksjon Piperacillin sodium / tazobactam 40/5 mg/ml
Glukose 5 % 81
Kompatibel
Injeksjon Minocycline hydrochloride 50 mg/ml
Injeksjon Potassium chloride 40 mEq/l
Glukose 5 % 1228
Kompatibel
Injeksjon Minocycline hydrochloride 50 mg/ml
Injeksjon Potassium chloride 40 mEq/l
Natriumklorid 0,9 % 1228
Kompatibel
Injeksjon Minocycline hydrochloride 50 mg/ml
Injeksjon Potassium chloride 40 mEq/l
Ringers laktatoppløsning 1228
Kompatibel
Injeksjon Minocycline hydrochloride 0.2 mg/ml
Injeksjon Teniposide 0.1 mg/ml
Glukose 5 % 905
Umiddelbar ustabilitet av emulsjonen Uforenlig
Injeksjon Minocycline hydrochloride 0.2 mg/ml
Parenteral ernæring (med lipider) 1415
Umiddelbar nedbør Uforenlig
Injeksjon Minocycline hydrochloride 0.2 mg/ml
Injeksjon Propofol 10 mg/ml
Ingen 300
Kompatibel
Injeksjon Minocycline hydrochloride 0.2 mg/ml
Injeksjon Remifentanil hydrochloride 25 & 250 µg/ml
Natriumklorid 0,9 % 59
Kompatibel
Injeksjon Minocycline hydrochloride 0,1 mg/ml
Injeksjon Rifampicin 0,1 mg/ml
Natriumklorid 0,9 % 263
Kompatibel
Injeksjon Minocycline hydrochloride 0.2 mg/ml
Injeksjon Sargramostim 10 µg/ml
Natriumklorid 0,9 % 335
Kompatibel
Injeksjon Minocycline hydrochloride 0,4 mg/ml
Injeksjon Sulbactam/durlobactam 15/15 mg/ml
Natriumklorid 0,9 % 4801
Fargeendring etter 1 time Uforenlig
Injeksjon Minocycline hydrochloride 0.2 mg/ml
Injeksjon Thiotepa 1 mg/ml
Glukose 5 % 249
Kompatibel
Injeksjon Minocycline hydrochloride
Ringers laktatoppløsning 5058
Kompatibel
Injeksjon Minocycline hydrochloride
Glukose 5 % 5058
Kompatibel
Injeksjon Minocycline hydrochloride
Natriumklorid 0,9 % 5058
Kompatibel
Injeksjon Minocycline hydrochloride 0.2 mg/ml
Injeksjon Vinorelbine tartrate 1 mg/ml
Natriumklorid 0,9 % 84
Fargeendring Uforenlig
Injeksjon Minocycline hydrochloride 0.2 mg/ml
Parenteral ernæring(lipid-free) 301

  Mentions Légales