Son güncelleme :
18/03/2026
Antibiyotik   Minocycline hydrochloride  
Enjeksiyon
Oral solüsyon / oral çözelti
Çözeltilerin stabilitesi Karışımlardaki stabilitesi Stabiliteyi etkileyen faktörler Uyumluluk Uygulama yöntemi Kaynaklar pdf
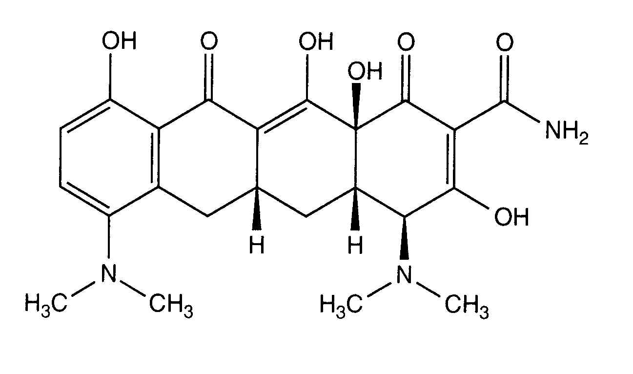
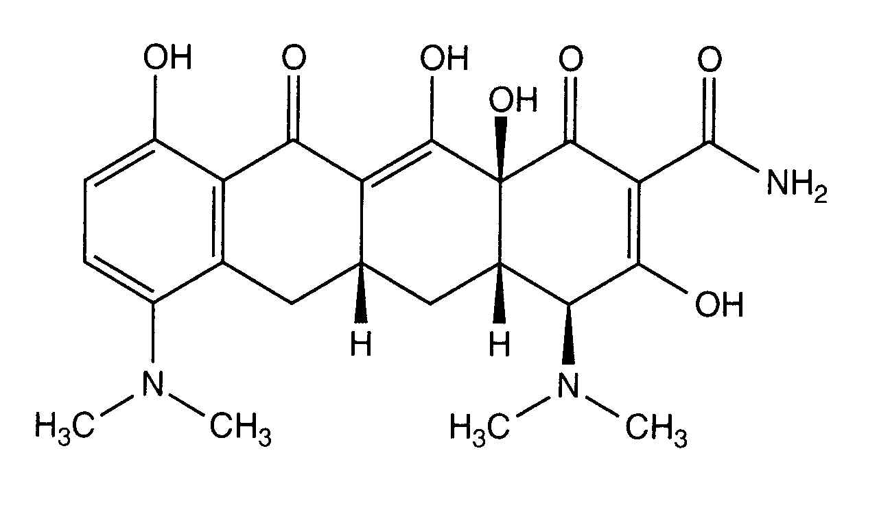
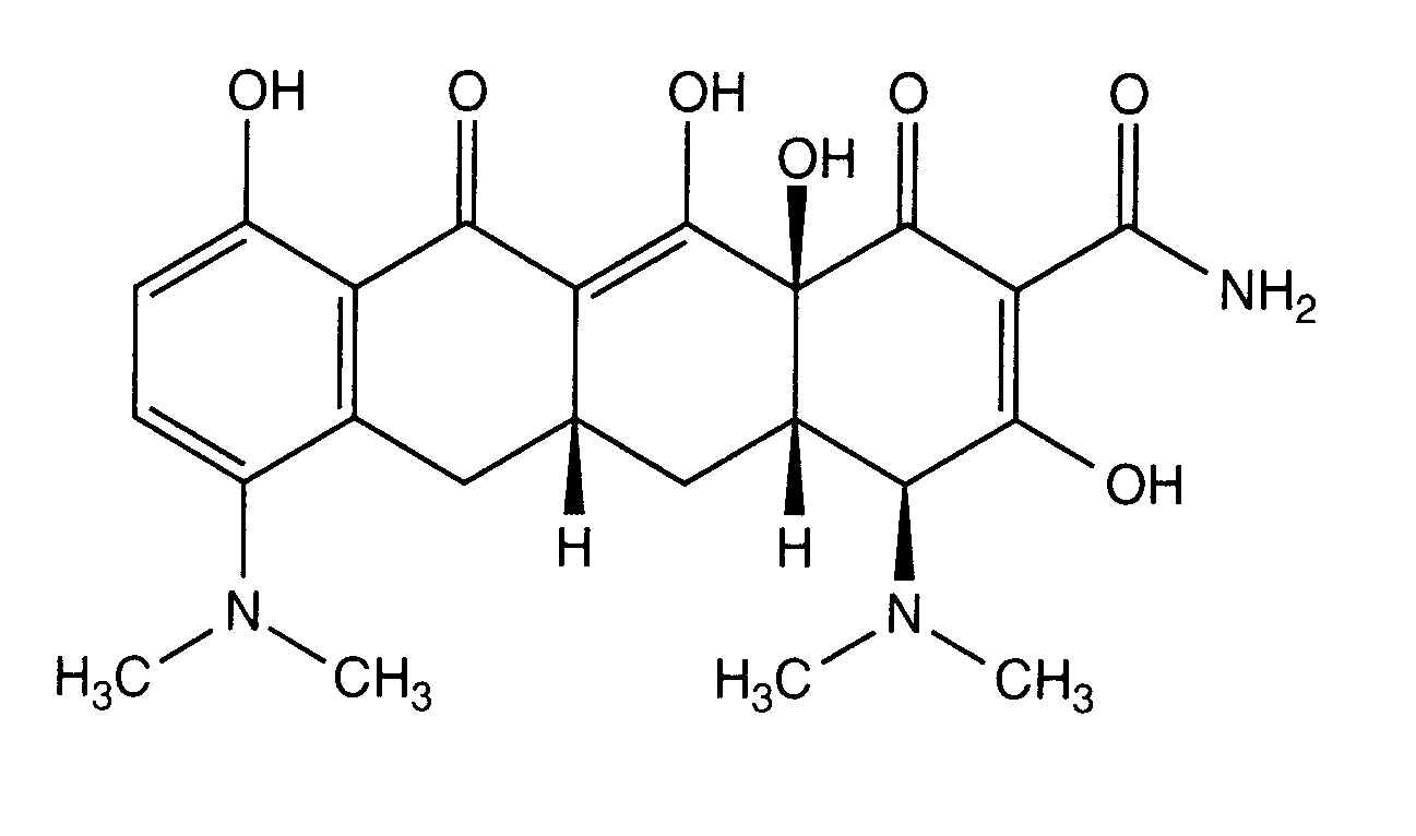
   Kimyasal yapı   

Ticari isim   Ticari isim     

Trade names are indicative and excipients composition can be different depending on the country and manufacturers

Minocin Amerika Birleşik Devletleri
Uyumluluk   Enjeksiyon    Uyumluluk : Minocycline hydrochloride              
Bu ekran, bu durumda uyumsuzluk tipiyle (çökelme, renk değişimi, bir emülsiyonun modifikasyonu, vb.) Uyumlulukları veya uyumsuzlukları gösterir. Burada gösterilen uyumluluklar çoğunlukla yalnızca fizikseldir ve her molekülün kimyasal stabilitesi nadiren değerlendirilir. Bu karışımların değerlendirilmesi, hastaya Y bölgesi uygulama olasılığını göz önünde bulundurmak için çalışıldı. Bu veriler önceden torba veya şırıngalarda karışım yapmak için kullanılamaz. Bu tür bilgiler "Karışımda stabilite" ekranında mevcuttur.
Bileşik Çözücü Kaynaklar
4 saat sonra renk değişimi uyumsuz
Enjeksiyon Minocycline hydrochloride 0.2 mg/ml
Enjeksiyon Allopurinol sodium 3 mg/ml
Sodyum klorür % 0,9 307
Acil yağış uyumsuz
Enjeksiyon Minocycline hydrochloride
Enjeksiyon Calcium chloride
5058
Acil yağış uyumsuz
Enjeksiyon Minocycline hydrochloride
Enjeksiyon Calcium glucoheptonate
5058
Belirtilmemiş uyumsuzluk uyumsuz
Enjeksiyon Minocycline hydrochloride
Enjeksiyon Calcium gluconate
3644
Acil yağış uyumsuz
Enjeksiyon Minocycline hydrochloride
Enjeksiyon Calcium gluconate
5058
Uyumlu
Enjeksiyon Minocycline hydrochloride 0.2 mg/ml
Enjeksiyon Cisatracurium besylate 0.1 >> 5 mg/ml
Glukoz %5 299
Uyumlu
Enjeksiyon Minocycline hydrochloride 0.2 mg/ml
Enjeksiyon Docetaxel 0.9 mg/ml
Glukoz %5 1754
Belirtilmemiş uyumsuzluk uyumsuz
Enjeksiyon Minocycline hydrochloride
Enjeksiyon Erythromycin lactobionate
3674
Uyumlu
Enjeksiyon Minocycline hydrochloride 0.2 mg/ml
Enjeksiyon Etoposide phosphate 5 mg/ml
Glukoz %5 1410
Uyumlu
Enjeksiyon Minocycline hydrochloride 0.2 mg/ml
Enjeksiyon Filgrastim 30 µg/ml
Glukoz %5 244
Acil yağış uyumsuz
Enjeksiyon Minocycline hydrochloride 1 mg/ml
Parenteral beslenme (Lipidler) 4440
Renk değişimi uyumsuz
Enjeksiyon Minocycline hydrochloride 0.2 mg/ml
Enjeksiyon Amifostine 10 mg/ml
Glukoz %5 3
Uyumlu
Enjeksiyon Minocycline hydrochloride 0.2 mg/ml
Enjeksiyon Aztreonam 40 mg/ml
Glukoz %5 99
Uyumlu
Enjeksiyon Minocycline hydrochloride 0.2 mg/ml
Enjeksiyon Fludarabine phosphate 1 mg/ml
Glukoz %5 492
Acil yağış uyumsuz
Enjeksiyon Minocycline hydrochloride
Enjeksiyon Folinate calcium
5058
Uyumlu
Enjeksiyon Minocycline hydrochloride 0.2 mg/ml
Enjeksiyon Gemcitabine hydrochloride 10 mg/ml
Sodyum klorür % 0,9 1423
Uyumlu
Enjeksiyon Minocycline hydrochloride 0.2 mg/ml
Enjeksiyon Granisetron hydrochloride 0.05 mg/ml
Glukoz %5 182
Uyumlu
Enjeksiyon Minocycline hydrochloride 0.2 mg/ml
Enjeksiyon Heparin sodium 1 UI/ml
Laktatlı ringer 1228
Uyumlu
Enjeksiyon Minocycline hydrochloride 0.2 mg/ml
Enjeksiyon Heparin sodium 1 UI/ml
Sodyum klorür % 0,9 1228
Uyumlu
Enjeksiyon Minocycline hydrochloride 0.2 mg/ml
Enjeksiyon Heparin sodium 1 UI/ml
Glukoz %5 1228
Uyumlu
Enjeksiyon Minocycline hydrochloride 50 mg/ml
Enjeksiyon Hydrocortisone sodium succinate 1 mg/ml
Glukoz %5 1228
Uyumlu
Enjeksiyon Minocycline hydrochloride 50 mg/ml
Enjeksiyon Hydrocortisone sodium succinate 1 mg/ml
Laktatlı ringer 1228
Uyumlu
Enjeksiyon Minocycline hydrochloride 50 mg/ml
Enjeksiyon Hydrocortisone sodium succinate 1 mg/ml
Sodyum klorür % 0,9 1228
1 saat sonra renk değişimi uyumsuz
Enjeksiyon Minocycline hydrochloride 0.2 mg/ml
Enjeksiyon Hydromorphone hydrochloride 0.2 mg/ml
Glukoz %5 405
Acil yağış uyumsuz
Enjeksiyon Minocycline hydrochloride
Enjeksiyon Levofolinate calcium
5058
Uyumlu
Enjeksiyon Minocycline hydrochloride 0.2 mg/ml
Enjeksiyon Linezolid 2 mg/ml
Yok 1925
Uyumlu
Enjeksiyon Minocycline hydrochloride 0.2 mg/ml
Enjeksiyon Magnesium sulfate 16.67 >> 100 mg/ml
Glukoz %5 1047
Uyumlu
Enjeksiyon Minocycline hydrochloride 0.2 mg/ml
Enjeksiyon Melphalan 0.1 mg/ml
Sodyum klorür % 0,9 169
Belirtilmemiş uyumsuzluk uyumsuz
Enjeksiyon Minocycline hydrochloride
Enjeksiyon Mitomycin
4471
Kimyasal kararsızlık uyumsuz
Enjeksiyon Minocycline hydrochloride
Enjeksiyon Mitomycin
3128
1 saat sonra renk değişimi uyumsuz
Enjeksiyon Minocycline hydrochloride 0.2 mg/ml
Enjeksiyon Morphine sulfate 1 mg/ml
Glukoz %5 405
Belirtilmemiş uyumsuzluk uyumsuz
Enjeksiyon Minocycline hydrochloride
Enjeksiyon Morphine sulfate
3531
4 saat sonra renk değişimi uyumsuz
Enjeksiyon Minocycline hydrochloride 0.2 mg/ml
Enjeksiyon Pemetrexed disodium 20 mg/ml
Sodyum klorür % 0,9 1953
1 saat sonra renk değişimi uyumsuz
Enjeksiyon Minocycline hydrochloride 0.2 mg/ml
Enjeksiyon Pethidine hydrochloride 10 mg/ml
Glukoz %5 405
Acil yağış uyumsuz
Enjeksiyon Minocycline hydrochloride 1 mg/ml
Enjeksiyon Piperacillin sodium / tazobactam 40/5 mg/ml
Glukoz %5 81
Uyumlu
Enjeksiyon Minocycline hydrochloride 50 mg/ml
Enjeksiyon Potassium chloride 40 mEq/l
Glukoz %5 1228
Uyumlu
Enjeksiyon Minocycline hydrochloride 50 mg/ml
Enjeksiyon Potassium chloride 40 mEq/l
Sodyum klorür % 0,9 1228
Uyumlu
Enjeksiyon Minocycline hydrochloride 50 mg/ml
Enjeksiyon Potassium chloride 40 mEq/l
Laktatlı ringer 1228
Uyumlu
Enjeksiyon Minocycline hydrochloride 0.2 mg/ml
Enjeksiyon Teniposide 0.1 mg/ml
Glukoz %5 905
Emülsiyonun anında dengesizliği uyumsuz
Enjeksiyon Minocycline hydrochloride 0.2 mg/ml
Parenteral beslenme (Lipidler) 1415
Acil yağış uyumsuz
Enjeksiyon Minocycline hydrochloride 0.2 mg/ml
Enjeksiyon Propofol 10 mg/ml
Yok 300
Uyumlu
Enjeksiyon Minocycline hydrochloride 0.2 mg/ml
Enjeksiyon Remifentanil hydrochloride 25 & 250 µg/ml
Sodyum klorür % 0,9 59
Uyumlu
Enjeksiyon Minocycline hydrochloride 0,1 mg/ml
Enjeksiyon Rifampicin 0,1 mg/ml
Sodyum klorür % 0,9 263
Uyumlu
Enjeksiyon Minocycline hydrochloride 0.2 mg/ml
Enjeksiyon Sargramostim 10 µg/ml
Sodyum klorür % 0,9 335
Uyumlu
Enjeksiyon Minocycline hydrochloride 0,4 mg/ml
Enjeksiyon Sulbactam/durlobactam 15/15 mg/ml
Sodyum klorür % 0,9 4801
1 saat sonra renk değişimi uyumsuz
Enjeksiyon Minocycline hydrochloride 0.2 mg/ml
Enjeksiyon Thiotepa 1 mg/ml
Glukoz %5 249
Uyumlu
Enjeksiyon Minocycline hydrochloride
Laktatlı ringer 5058
Uyumlu
Enjeksiyon Minocycline hydrochloride
Glukoz %5 5058
Uyumlu
Enjeksiyon Minocycline hydrochloride
Sodyum klorür % 0,9 5058
Uyumlu
Enjeksiyon Minocycline hydrochloride 0.2 mg/ml
Enjeksiyon Vinorelbine tartrate 1 mg/ml
Sodyum klorür % 0,9 84
Renk değişimi uyumsuz
Enjeksiyon Minocycline hydrochloride 0.2 mg/ml
Parenteral beslenme (ikili karışım) 301

  Mentions Légales