Poslední aktualizace :
18/03/2026
Antibiotikas   Minocycline hydrochloride  
Įpurškimas
Geriamas tirpalas
Tirpalų stabilumas Mišinių stabilumas Stabilumą lemiantys veiksniai Suderinamumas Leidimo būdai Bibliografija pdf
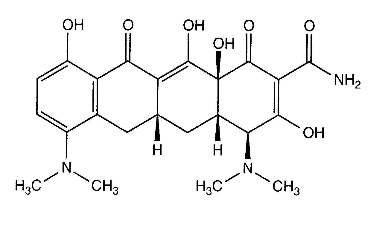
   Cheminė sandara  

Prekinis pavadinimas   Prekinis pavadinimas     

Trade names are indicative and excipients composition can be different depending on the country and manufacturers

Minocin Jungtinės Amerikos Valstijos
Suderinamumas   Įpurškimas   Suderinamumas : Minocycline hydrochloride              
explication_incompatibilite_molecules
Molekulė Tirpiklis Nuorodos
Spalvos pasikeitimas po 4 valandų Nesuderinamas
Įpurškimas Minocycline hydrochloride 0.2 mg/ml
Įpurškimas Allopurinol sodium 3 mg/ml
Natrio chloridas 0,9% 307
Nedelsiant krituliai Nesuderinamas
Įpurškimas Minocycline hydrochloride
Įpurškimas Calcium chloride
5058
Nedelsiant krituliai Nesuderinamas
Įpurškimas Minocycline hydrochloride
Įpurškimas Calcium glucoheptonate
5058
Nepatikslintas nesuderinamumas Nesuderinamas
Įpurškimas Minocycline hydrochloride
Įpurškimas Calcium gluconate
3644
Nedelsiant krituliai Nesuderinamas
Įpurškimas Minocycline hydrochloride
Įpurškimas Calcium gluconate
5058
Suderinamas
Įpurškimas Minocycline hydrochloride 0.2 mg/ml
Įpurškimas Cisatracurium besylate 0.1 >> 5 mg/ml
Gliukozė 5% 299
Suderinamas
Įpurškimas Minocycline hydrochloride 0.2 mg/ml
Įpurškimas Docetaxel 0.9 mg/ml
Gliukozė 5% 1754
Nepatikslintas nesuderinamumas Nesuderinamas
Įpurškimas Minocycline hydrochloride
Įpurškimas Erythromycin lactobionate
3674
Suderinamas
Įpurškimas Minocycline hydrochloride 0.2 mg/ml
Įpurškimas Etoposide phosphate 5 mg/ml
Gliukozė 5% 1410
Suderinamas
Įpurškimas Minocycline hydrochloride 0.2 mg/ml
Įpurškimas Filgrastim 30 µg/ml
Gliukozė 5% 244
Nedelsiant krituliai Nesuderinamas
Įpurškimas Minocycline hydrochloride 1 mg/ml
Parenteriniu būdu (su lipidų) 4440
Spalvos pasikeitimas Nesuderinamas
Įpurškimas Minocycline hydrochloride 0.2 mg/ml
Įpurškimas Amifostine 10 mg/ml
Gliukozė 5% 3
Suderinamas
Įpurškimas Minocycline hydrochloride 0.2 mg/ml
Įpurškimas Aztreonam 40 mg/ml
Gliukozė 5% 99
Suderinamas
Įpurškimas Minocycline hydrochloride 0.2 mg/ml
Įpurškimas Fludarabine phosphate 1 mg/ml
Gliukozė 5% 492
Nedelsiant krituliai Nesuderinamas
Įpurškimas Minocycline hydrochloride
Įpurškimas Folinate calcium
5058
Suderinamas
Įpurškimas Minocycline hydrochloride 0.2 mg/ml
Įpurškimas Gemcitabine hydrochloride 10 mg/ml
Natrio chloridas 0,9% 1423
Suderinamas
Įpurškimas Minocycline hydrochloride 0.2 mg/ml
Įpurškimas Granisetron hydrochloride 0.05 mg/ml
Gliukozė 5% 182
Suderinamas
Įpurškimas Minocycline hydrochloride 0.2 mg/ml
Įpurškimas Heparin sodium 1 UI/ml
Ringerio laktato tirpalas 1228
Suderinamas
Įpurškimas Minocycline hydrochloride 0.2 mg/ml
Įpurškimas Heparin sodium 1 UI/ml
Natrio chloridas 0,9% 1228
Suderinamas
Įpurškimas Minocycline hydrochloride 0.2 mg/ml
Įpurškimas Heparin sodium 1 UI/ml
Gliukozė 5% 1228
Suderinamas
Įpurškimas Minocycline hydrochloride 50 mg/ml
Įpurškimas Hydrocortisone sodium succinate 1 mg/ml
Gliukozė 5% 1228
Suderinamas
Įpurškimas Minocycline hydrochloride 50 mg/ml
Įpurškimas Hydrocortisone sodium succinate 1 mg/ml
Ringerio laktato tirpalas 1228
Suderinamas
Įpurškimas Minocycline hydrochloride 50 mg/ml
Įpurškimas Hydrocortisone sodium succinate 1 mg/ml
Natrio chloridas 0,9% 1228
Spalvos pasikeitimas po 1 valandos Nesuderinamas
Įpurškimas Minocycline hydrochloride 0.2 mg/ml
Įpurškimas Hydromorphone hydrochloride 0.2 mg/ml
Gliukozė 5% 405
Nedelsiant krituliai Nesuderinamas
Įpurškimas Minocycline hydrochloride
Įpurškimas Levofolinate calcium
5058
Suderinamas
Įpurškimas Minocycline hydrochloride 0.2 mg/ml
Įpurškimas Linezolid 2 mg/ml
Nėra 1925
Suderinamas
Įpurškimas Minocycline hydrochloride 0.2 mg/ml
Įpurškimas Magnesium sulfate 16.67 >> 100 mg/ml
Gliukozė 5% 1047
Suderinamas
Įpurškimas Minocycline hydrochloride 0.2 mg/ml
Įpurškimas Melphalan 0.1 mg/ml
Natrio chloridas 0,9% 169
Nepatikslintas nesuderinamumas Nesuderinamas
Įpurškimas Minocycline hydrochloride
Įpurškimas Mitomycin
4471
Cheminis nestabilumas Nesuderinamas
Įpurškimas Minocycline hydrochloride
Įpurškimas Mitomycin
3128
Spalvos pasikeitimas po 1 valandos Nesuderinamas
Įpurškimas Minocycline hydrochloride 0.2 mg/ml
Įpurškimas Morphine sulfate 1 mg/ml
Gliukozė 5% 405
Nepatikslintas nesuderinamumas Nesuderinamas
Įpurškimas Minocycline hydrochloride
Įpurškimas Morphine sulfate
3531
Spalvos pasikeitimas po 4 valandų Nesuderinamas
Įpurškimas Minocycline hydrochloride 0.2 mg/ml
Įpurškimas Pemetrexed disodium 20 mg/ml
Natrio chloridas 0,9% 1953
Spalvos pasikeitimas po 1 valandos Nesuderinamas
Įpurškimas Minocycline hydrochloride 0.2 mg/ml
Įpurškimas Pethidine hydrochloride 10 mg/ml
Gliukozė 5% 405
Nedelsiant krituliai Nesuderinamas
Įpurškimas Minocycline hydrochloride 1 mg/ml
Įpurškimas Piperacillin sodium / tazobactam 40/5 mg/ml
Gliukozė 5% 81
Suderinamas
Įpurškimas Minocycline hydrochloride 50 mg/ml
Įpurškimas Potassium chloride 40 mEq/l
Gliukozė 5% 1228
Suderinamas
Įpurškimas Minocycline hydrochloride 50 mg/ml
Įpurškimas Potassium chloride 40 mEq/l
Natrio chloridas 0,9% 1228
Suderinamas
Įpurškimas Minocycline hydrochloride 50 mg/ml
Įpurškimas Potassium chloride 40 mEq/l
Ringerio laktato tirpalas 1228
Suderinamas
Įpurškimas Minocycline hydrochloride 0.2 mg/ml
Įpurškimas Teniposide 0.1 mg/ml
Gliukozė 5% 905
Skubus emulsijos nestabilumas Nesuderinamas
Įpurškimas Minocycline hydrochloride 0.2 mg/ml
Parenteriniu būdu (su lipidų) 1415
Nedelsiant krituliai Nesuderinamas
Įpurškimas Minocycline hydrochloride 0.2 mg/ml
Įpurškimas Propofol 10 mg/ml
Nėra 300
Suderinamas
Įpurškimas Minocycline hydrochloride 0.2 mg/ml
Įpurškimas Remifentanil hydrochloride 25 & 250 µg/ml
Natrio chloridas 0,9% 59
Suderinamas
Įpurškimas Minocycline hydrochloride 0,1 mg/ml
Įpurškimas Rifampicin 0,1 mg/ml
Natrio chloridas 0,9% 263
Suderinamas
Įpurškimas Minocycline hydrochloride 0.2 mg/ml
Įpurškimas Sargramostim 10 µg/ml
Natrio chloridas 0,9% 335
Suderinamas
Įpurškimas Minocycline hydrochloride 0,4 mg/ml
Įpurškimas Sulbactam/durlobactam 15/15 mg/ml
Natrio chloridas 0,9% 4801
Spalvos pasikeitimas po 1 valandos Nesuderinamas
Įpurškimas Minocycline hydrochloride 0.2 mg/ml
Įpurškimas Thiotepa 1 mg/ml
Gliukozė 5% 249
Suderinamas
Įpurškimas Minocycline hydrochloride
Ringerio laktato tirpalas 5058
Suderinamas
Įpurškimas Minocycline hydrochloride
Gliukozė 5% 5058
Suderinamas
Įpurškimas Minocycline hydrochloride
Natrio chloridas 0,9% 5058
Suderinamas
Įpurškimas Minocycline hydrochloride 0.2 mg/ml
Įpurškimas Vinorelbine tartrate 1 mg/ml
Natrio chloridas 0,9% 84
Spalvos pasikeitimas Nesuderinamas
Įpurškimas Minocycline hydrochloride 0.2 mg/ml
Parenterinis maitinimas (lipidų nemokamai) 301

  Mentions Légales