Poslední aktualizace :
18/03/2026
Antibiotikum   Minocycline hydrochloride  
injekce
Perorální roztok
Stabilita roztoků Stabilita směsí Faktory ovlivňující stabilitu Kompatibilita Způsoby aplikace Odkazy pdf
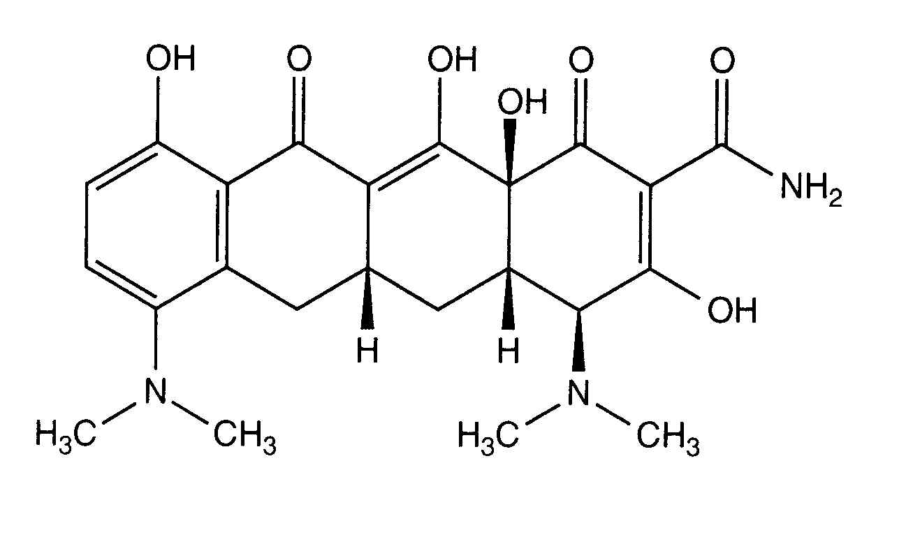
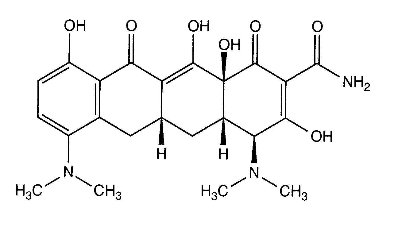
   Chemický vzorec  

Obchodní název   Obchodní název     

Trade names are indicative and excipients composition can be different depending on the country and manufacturers

Minocin USA
Kompatibilita   injekce   Kompatibilita : Minocycline hydrochloride              
Tato obrazovka ukazuje kompatibilitu nebo nekompatibilitu s, v tomto případě, typem nekompatibility (srážení, změna barvy, modifikace emulze atd.). Zde uvedené kompatibility jsou většinou pouze fyzikální, přičemž chemická stabilita každé molekuly je zřídka hodnocena. Hodnocení těchto směsí bylo studováno, aby se zvážila možnost podání Y-místa pacientovi. Tyto údaje nelze použít k přípravě směsí předem v pytlích nebo stříkačkách. Tento typ informací je k dispozici na obrazovce „Stabilita ve směsi“.
SlouËenina RozpouötÏdlo Odkazy
Změna barvy po 4 hodinách Nekompatibilní
injekce Minocycline hydrochloride 0.2 mg/ml
injekce Allopurinol sodium 3 mg/ml
Chlorid sodný 0,9% 307
Okamžité srážení Nekompatibilní
injekce Minocycline hydrochloride
injekce Calcium chloride
5058
Okamžité srážení Nekompatibilní
injekce Minocycline hydrochloride
injekce Calcium glucoheptonate
5058
Nespecifikovaná nekompatibilita Nekompatibilní
injekce Minocycline hydrochloride
injekce Calcium gluconate
3644
Okamžité srážení Nekompatibilní
injekce Minocycline hydrochloride
injekce Calcium gluconate
5058
Kompatibilní
injekce Minocycline hydrochloride 0.2 mg/ml
injekce Cisatracurium besylate 0.1 >> 5 mg/ml
GlukÛza 5% 299
Kompatibilní
injekce Minocycline hydrochloride 0.2 mg/ml
injekce Docetaxel 0.9 mg/ml
GlukÛza 5% 1754
Nespecifikovaná nekompatibilita Nekompatibilní
injekce Minocycline hydrochloride
injekce Erythromycin lactobionate
3674
Kompatibilní
injekce Minocycline hydrochloride 0.2 mg/ml
injekce Etoposide phosphate 5 mg/ml
GlukÛza 5% 1410
Kompatibilní
injekce Minocycline hydrochloride 0.2 mg/ml
injekce Filgrastim 30 µg/ml
GlukÛza 5% 244
Okamžité srážení Nekompatibilní
injekce Minocycline hydrochloride 1 mg/ml
Parenterální výživa (lipidy) 4440
Změna barvy Nekompatibilní
injekce Minocycline hydrochloride 0.2 mg/ml
injekce Amifostine 10 mg/ml
GlukÛza 5% 3
Kompatibilní
injekce Minocycline hydrochloride 0.2 mg/ml
injekce Aztreonam 40 mg/ml
GlukÛza 5% 99
Kompatibilní
injekce Minocycline hydrochloride 0.2 mg/ml
injekce Fludarabine phosphate 1 mg/ml
GlukÛza 5% 492
Okamžité srážení Nekompatibilní
injekce Minocycline hydrochloride
injekce Folinate calcium
5058
Kompatibilní
injekce Minocycline hydrochloride 0.2 mg/ml
injekce Gemcitabine hydrochloride 10 mg/ml
Chlorid sodný 0,9% 1423
Kompatibilní
injekce Minocycline hydrochloride 0.2 mg/ml
injekce Granisetron hydrochloride 0.05 mg/ml
GlukÛza 5% 182
Kompatibilní
injekce Minocycline hydrochloride 0.2 mg/ml
injekce Heparin sodium 1 UI/ml
RingerŐs laktátový roztok 1228
Kompatibilní
injekce Minocycline hydrochloride 0.2 mg/ml
injekce Heparin sodium 1 UI/ml
Chlorid sodný 0,9% 1228
Kompatibilní
injekce Minocycline hydrochloride 0.2 mg/ml
injekce Heparin sodium 1 UI/ml
GlukÛza 5% 1228
Kompatibilní
injekce Minocycline hydrochloride 50 mg/ml
injekce Hydrocortisone sodium succinate 1 mg/ml
GlukÛza 5% 1228
Kompatibilní
injekce Minocycline hydrochloride 50 mg/ml
injekce Hydrocortisone sodium succinate 1 mg/ml
RingerŐs laktátový roztok 1228
Kompatibilní
injekce Minocycline hydrochloride 50 mg/ml
injekce Hydrocortisone sodium succinate 1 mg/ml
Chlorid sodný 0,9% 1228
Změna barvy po 1 hodině Nekompatibilní
injekce Minocycline hydrochloride 0.2 mg/ml
injekce Hydromorphone hydrochloride 0.2 mg/ml
GlukÛza 5% 405
Okamžité srážení Nekompatibilní
injekce Minocycline hydrochloride
injekce Levofolinate calcium
5058
Kompatibilní
injekce Minocycline hydrochloride 0.2 mg/ml
injekce Linezolid 2 mg/ml
Žádné 1925
Kompatibilní
injekce Minocycline hydrochloride 0.2 mg/ml
injekce Magnesium sulfate 16.67 >> 100 mg/ml
GlukÛza 5% 1047
Kompatibilní
injekce Minocycline hydrochloride 0.2 mg/ml
injekce Melphalan 0.1 mg/ml
Chlorid sodný 0,9% 169
Nespecifikovaná nekompatibilita Nekompatibilní
injekce Minocycline hydrochloride
injekce Mitomycin
4471
Chemická nestabilita Nekompatibilní
injekce Minocycline hydrochloride
injekce Mitomycin
3128
Změna barvy po 1 hodině Nekompatibilní
injekce Minocycline hydrochloride 0.2 mg/ml
injekce Morphine sulfate 1 mg/ml
GlukÛza 5% 405
Nespecifikovaná nekompatibilita Nekompatibilní
injekce Minocycline hydrochloride
injekce Morphine sulfate
3531
Změna barvy po 4 hodinách Nekompatibilní
injekce Minocycline hydrochloride 0.2 mg/ml
injekce Pemetrexed disodium 20 mg/ml
Chlorid sodný 0,9% 1953
Změna barvy po 1 hodině Nekompatibilní
injekce Minocycline hydrochloride 0.2 mg/ml
injekce Pethidine hydrochloride 10 mg/ml
GlukÛza 5% 405
Okamžité srážení Nekompatibilní
injekce Minocycline hydrochloride 1 mg/ml
injekce Piperacillin sodium / tazobactam 40/5 mg/ml
GlukÛza 5% 81
Kompatibilní
injekce Minocycline hydrochloride 50 mg/ml
injekce Potassium chloride 40 mEq/l
GlukÛza 5% 1228
Kompatibilní
injekce Minocycline hydrochloride 50 mg/ml
injekce Potassium chloride 40 mEq/l
Chlorid sodný 0,9% 1228
Kompatibilní
injekce Minocycline hydrochloride 50 mg/ml
injekce Potassium chloride 40 mEq/l
RingerŐs laktátový roztok 1228
Kompatibilní
injekce Minocycline hydrochloride 0.2 mg/ml
injekce Teniposide 0.1 mg/ml
GlukÛza 5% 905
Okamžitá nestabilita emulze Nekompatibilní
injekce Minocycline hydrochloride 0.2 mg/ml
Parenterální výživa (lipidy) 1415
Okamžité srážení Nekompatibilní
injekce Minocycline hydrochloride 0.2 mg/ml
injekce Propofol 10 mg/ml
Žádné 300
Kompatibilní
injekce Minocycline hydrochloride 0.2 mg/ml
injekce Remifentanil hydrochloride 25 & 250 µg/ml
Chlorid sodný 0,9% 59
Kompatibilní
injekce Minocycline hydrochloride 0,1 mg/ml
injekce Rifampicin 0,1 mg/ml
Chlorid sodný 0,9% 263
Kompatibilní
injekce Minocycline hydrochloride 0.2 mg/ml
injekce Sargramostim 10 µg/ml
Chlorid sodný 0,9% 335
Kompatibilní
injekce Minocycline hydrochloride 0,4 mg/ml
injekce Sulbactam/durlobactam 15/15 mg/ml
Chlorid sodný 0,9% 4801
Změna barvy po 1 hodině Nekompatibilní
injekce Minocycline hydrochloride 0.2 mg/ml
injekce Thiotepa 1 mg/ml
GlukÛza 5% 249
Kompatibilní
injekce Minocycline hydrochloride
RingerŐs laktátový roztok 5058
Kompatibilní
injekce Minocycline hydrochloride
GlukÛza 5% 5058
Kompatibilní
injekce Minocycline hydrochloride
Chlorid sodný 0,9% 5058
Kompatibilní
injekce Minocycline hydrochloride 0.2 mg/ml
injekce Vinorelbine tartrate 1 mg/ml
Chlorid sodný 0,9% 84
Změna barvy Nekompatibilní
injekce Minocycline hydrochloride 0.2 mg/ml
Parenterální výživa (binární směs) 301

  Mentions Légales