Pēdējā atjaunošana :
18/03/2026
Antibiotika   Minocycline hydrochloride  
Injekcija
Orāls šķīdums
Šķīduma stabilitāte Maisījuma stabilitāte Stabilitāti ietekmējoši faktori Saderība Levadīšanas veids Literatūras saraksts pdf
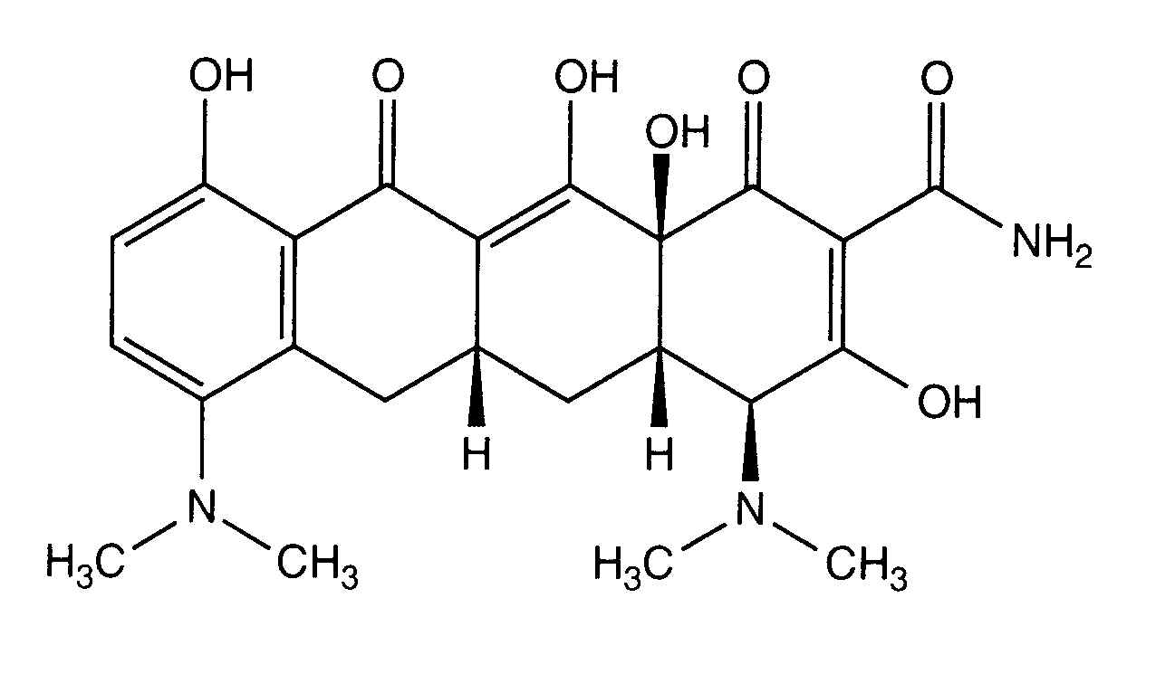
   Ķīmiskā uzbūve   

Oriģinālais nosaukums   Oriģinālais nosaukums     

Tirdzniecības nosaukumi ir apzīmējoši un palīgvielas var atšķirties dažādām valstīm un laboratorijām

Minocin Amerikas Savienotās Valstis
Saderība   Injekcija   Saderība : Minocycline hydrochloride              
Šī tabula parāda zāļu saderību vai nesaderību, pēc iespējas arī nesaderības tipu (precipitācija, krāsas maiņa, emulsijas sadalīšanās utt). Parādītas šeit saderības ir pārsvarā tikai fizikālās, pēc iespējas tiek parādīta ķīmiskā stabilitāte katrai molekulai. Šo maisījumu analīze tikai veikta, lai izprastu iespējamību ievadīt zāles Y-savienojuma vietā sistēmā pacientam. Šie dati nevar tikt izmantoti, lai pagatavot zāļu maisījumus vēlākai lietošanai maisos vai šļircēs. Šī informācija ir pieejama sadaļā "Maisījuma stabilitāte".
Savienojums Šķīdinātājs Literatūras saraksts
Krāsas maiņa pēc 4 stundām Nesavienojams
Injekcija Minocycline hydrochloride 0.2 mg/ml
Injekcija Allopurinol sodium 3 mg/ml
Nātrija hlorīds 0.9% 307
Tūlītēji nokrišņi Nesavienojams
Injekcija Minocycline hydrochloride
Injekcija Calcium chloride
5058
Tūlītēji nokrišņi Nesavienojams
Injekcija Minocycline hydrochloride
Injekcija Calcium glucoheptonate
5058
Neprecizēta nesaderība Nesavienojams
Injekcija Minocycline hydrochloride
Injekcija Calcium gluconate
3644
Tūlītēji nokrišņi Nesavienojams
Injekcija Minocycline hydrochloride
Injekcija Calcium gluconate
5058
Savietojams
Injekcija Minocycline hydrochloride 0.2 mg/ml
Injekcija Cisatracurium besylate 0.1 >> 5 mg/ml
5% glikoze 299
Savietojams
Injekcija Minocycline hydrochloride 0.2 mg/ml
Injekcija Docetaxel 0.9 mg/ml
5% glikoze 1754
Neprecizēta nesaderība Nesavienojams
Injekcija Minocycline hydrochloride
Injekcija Erythromycin lactobionate
3674
Savietojams
Injekcija Minocycline hydrochloride 0.2 mg/ml
Injekcija Etoposide phosphate 5 mg/ml
5% glikoze 1410
Savietojams
Injekcija Minocycline hydrochloride 0.2 mg/ml
Injekcija Filgrastim 30 µg/ml
5% glikoze 244
Tūlītēji nokrišņi Nesavienojams
Injekcija Minocycline hydrochloride 1 mg/ml
Parenterāla barošana (ar lipīdiem) 4440
Krāsu maiņa Nesavienojams
Injekcija Minocycline hydrochloride 0.2 mg/ml
Injekcija Amifostine 10 mg/ml
5% glikoze 3
Savietojams
Injekcija Minocycline hydrochloride 0.2 mg/ml
Injekcija Aztreonam 40 mg/ml
5% glikoze 99
Savietojams
Injekcija Minocycline hydrochloride 0.2 mg/ml
Injekcija Fludarabine phosphate 1 mg/ml
5% glikoze 492
Tūlītēji nokrišņi Nesavienojams
Injekcija Minocycline hydrochloride
Injekcija Folinate calcium
5058
Savietojams
Injekcija Minocycline hydrochloride 0.2 mg/ml
Injekcija Gemcitabine hydrochloride 10 mg/ml
Nātrija hlorīds 0.9% 1423
Savietojams
Injekcija Minocycline hydrochloride 0.2 mg/ml
Injekcija Granisetron hydrochloride 0.05 mg/ml
5% glikoze 182
Savietojams
Injekcija Minocycline hydrochloride 0.2 mg/ml
Injekcija Heparin sodium 1 UI/ml
Ringera laktāta šķīdums 1228
Savietojams
Injekcija Minocycline hydrochloride 0.2 mg/ml
Injekcija Heparin sodium 1 UI/ml
Nātrija hlorīds 0.9% 1228
Savietojams
Injekcija Minocycline hydrochloride 0.2 mg/ml
Injekcija Heparin sodium 1 UI/ml
5% glikoze 1228
Savietojams
Injekcija Minocycline hydrochloride 50 mg/ml
Injekcija Hydrocortisone sodium succinate 1 mg/ml
5% glikoze 1228
Savietojams
Injekcija Minocycline hydrochloride 50 mg/ml
Injekcija Hydrocortisone sodium succinate 1 mg/ml
Ringera laktāta šķīdums 1228
Savietojams
Injekcija Minocycline hydrochloride 50 mg/ml
Injekcija Hydrocortisone sodium succinate 1 mg/ml
Nātrija hlorīds 0.9% 1228
Krāsas maiņa pēc 1 stundas Nesavienojams
Injekcija Minocycline hydrochloride 0.2 mg/ml
Injekcija Hydromorphone hydrochloride 0.2 mg/ml
5% glikoze 405
Tūlītēji nokrišņi Nesavienojams
Injekcija Minocycline hydrochloride
Injekcija Levofolinate calcium
5058
Savietojams
Injekcija Minocycline hydrochloride 0.2 mg/ml
Injekcija Linezolid 2 mg/ml
Nekāds 1925
Savietojams
Injekcija Minocycline hydrochloride 0.2 mg/ml
Injekcija Magnesium sulfate 16.67 >> 100 mg/ml
5% glikoze 1047
Savietojams
Injekcija Minocycline hydrochloride 0.2 mg/ml
Injekcija Melphalan 0.1 mg/ml
Nātrija hlorīds 0.9% 169
Neprecizēta nesaderība Nesavienojams
Injekcija Minocycline hydrochloride
Injekcija Mitomycin
4471
Ķīmiskā nestabilitāte Nesavienojams
Injekcija Minocycline hydrochloride
Injekcija Mitomycin
3128
Krāsas maiņa pēc 1 stundas Nesavienojams
Injekcija Minocycline hydrochloride 0.2 mg/ml
Injekcija Morphine sulfate 1 mg/ml
5% glikoze 405
Neprecizēta nesaderība Nesavienojams
Injekcija Minocycline hydrochloride
Injekcija Morphine sulfate
3531
Krāsas maiņa pēc 4 stundām Nesavienojams
Injekcija Minocycline hydrochloride 0.2 mg/ml
Injekcija Pemetrexed disodium 20 mg/ml
Nātrija hlorīds 0.9% 1953
Krāsas maiņa pēc 1 stundas Nesavienojams
Injekcija Minocycline hydrochloride 0.2 mg/ml
Injekcija Pethidine hydrochloride 10 mg/ml
5% glikoze 405
Tūlītēji nokrišņi Nesavienojams
Injekcija Minocycline hydrochloride 1 mg/ml
Injekcija Piperacillin sodium / tazobactam 40/5 mg/ml
5% glikoze 81
Savietojams
Injekcija Minocycline hydrochloride 50 mg/ml
Injekcija Potassium chloride 40 mEq/l
5% glikoze 1228
Savietojams
Injekcija Minocycline hydrochloride 50 mg/ml
Injekcija Potassium chloride 40 mEq/l
Nātrija hlorīds 0.9% 1228
Savietojams
Injekcija Minocycline hydrochloride 50 mg/ml
Injekcija Potassium chloride 40 mEq/l
Ringera laktāta šķīdums 1228
Savietojams
Injekcija Minocycline hydrochloride 0.2 mg/ml
Injekcija Teniposide 0.1 mg/ml
5% glikoze 905
Tūlītēja emulsijas nestabilitāte Nesavienojams
Injekcija Minocycline hydrochloride 0.2 mg/ml
Parenterāla barošana (ar lipīdiem) 1415
Tūlītēji nokrišņi Nesavienojams
Injekcija Minocycline hydrochloride 0.2 mg/ml
Injekcija Propofol 10 mg/ml
Nekāds 300
Savietojams
Injekcija Minocycline hydrochloride 0.2 mg/ml
Injekcija Remifentanil hydrochloride 25 & 250 µg/ml
Nātrija hlorīds 0.9% 59
Savietojams
Injekcija Minocycline hydrochloride 0,1 mg/ml
Injekcija Rifampicin 0,1 mg/ml
Nātrija hlorīds 0.9% 263
Savietojams
Injekcija Minocycline hydrochloride 0.2 mg/ml
Injekcija Sargramostim 10 µg/ml
Nātrija hlorīds 0.9% 335
Savietojams
Injekcija Minocycline hydrochloride 0,4 mg/ml
Injekcija Sulbactam/durlobactam 15/15 mg/ml
Nātrija hlorīds 0.9% 4801
Krāsas maiņa pēc 1 stundas Nesavienojams
Injekcija Minocycline hydrochloride 0.2 mg/ml
Injekcija Thiotepa 1 mg/ml
5% glikoze 249
Savietojams
Injekcija Minocycline hydrochloride
Ringera laktāta šķīdums 5058
Savietojams
Injekcija Minocycline hydrochloride
5% glikoze 5058
Savietojams
Injekcija Minocycline hydrochloride
Nātrija hlorīds 0.9% 5058
Savietojams
Injekcija Minocycline hydrochloride 0.2 mg/ml
Injekcija Vinorelbine tartrate 1 mg/ml
Nātrija hlorīds 0.9% 84
Krāsu maiņa Nesavienojams
Injekcija Minocycline hydrochloride 0.2 mg/ml
Parenterāla barošana (lipīdu-free) 301

  Mentions Légales