Ostatnia aktualizacja :
18/03/2026
Antybiotyk   Minocycline hydrochloride  
Injekcje
Roztwór doustny
Trwałość roztworów Trwałość w mieszaninie Czynnik wpływający na trwałość Zgodność Sposób podania Bibliografia pdf
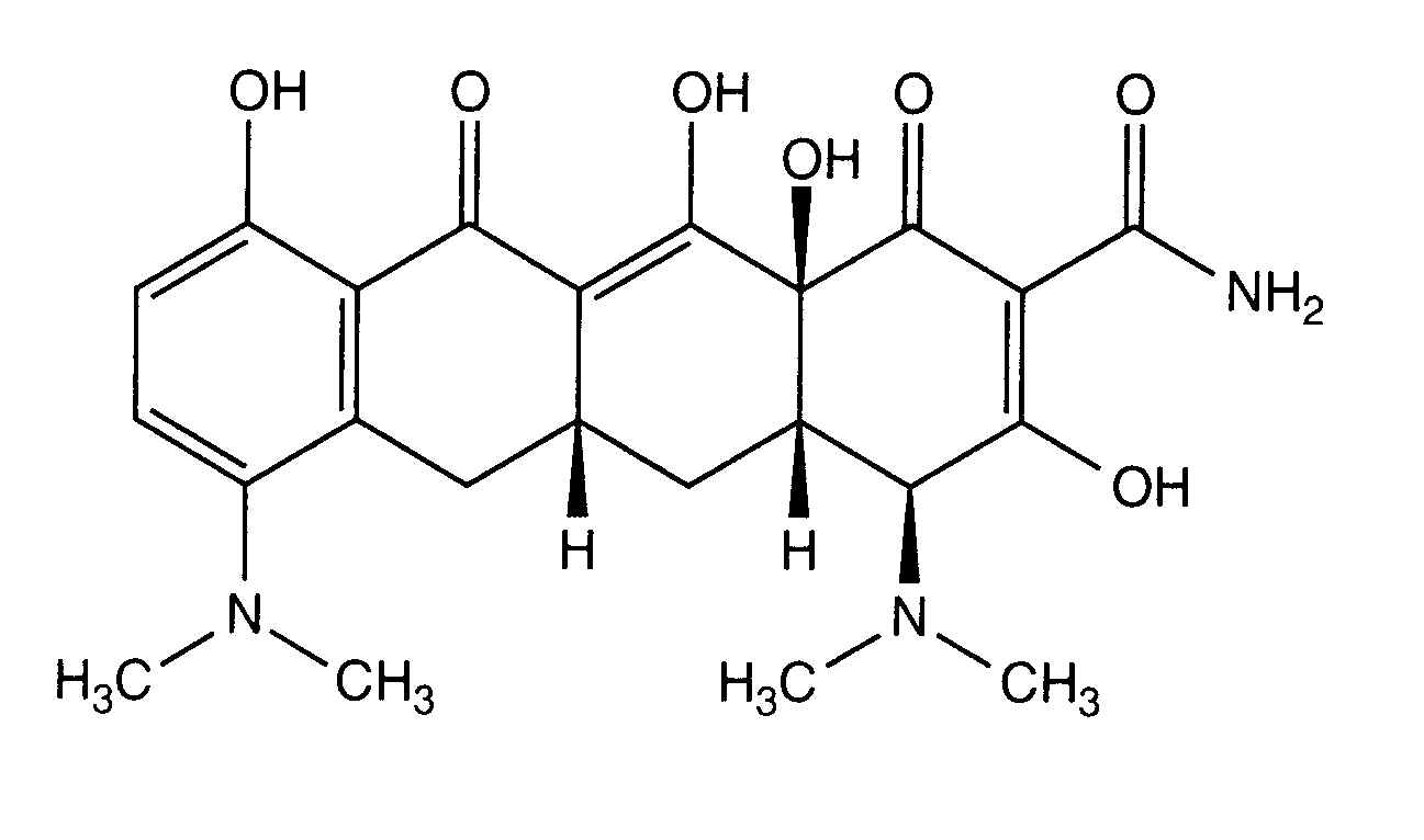
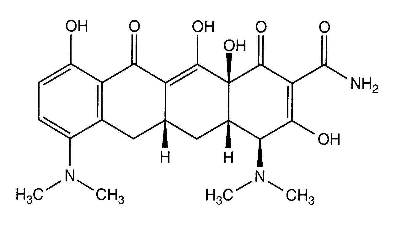
   Struktura chemiczna  

Nazwa handlowa   Nazwa handlowa     

Trade names are indicative and excipients composition can be different depending on the country and manufacturers

Minocin Stany Zjednoczone Ameryki
Zgodność   Injekcje   Zgodność : Minocycline hydrochloride              
Ekran ten wskazuje na kompatybilności lub niezgodności z, w tym przypadku, rodzajem niezgodności (strącanie, zmiana koloru, modyfikacja emulsji, itp.). Przedstawione tutaj kompatybilności są głównie fizyczne, a stabilność chemiczna każdej cząsteczki jest rzadko oceniana. Ocenę tych mieszanin badano w celu rozważenia możliwości podania pacjentowi w miejscu Y. Dane te nie mogą być wykorzystywane do sporządzania mieszanin z wyprzedzeniem w workach lub strzykawkach. Tego typu informacje są dostępne na ekranie „Stabilność w mieszaninie”.
Związek Rozpuszczalnik Bibliografia
Zmiana koloru po 4 godzinach Niekompatybilny
Injekcje Minocycline hydrochloride 0.2 mg/ml
Injekcje Allopurinol sodium 3 mg/ml
Chlorek sodu 0,9% 307
Natychmiastowe opady Niekompatybilny
Injekcje Minocycline hydrochloride
Injekcje Calcium chloride
5058
Natychmiastowe opady Niekompatybilny
Injekcje Minocycline hydrochloride
Injekcje Calcium glucoheptonate
5058
Nieokreślona niezgodność Niekompatybilny
Injekcje Minocycline hydrochloride
Injekcje Calcium gluconate
3644
Natychmiastowe opady Niekompatybilny
Injekcje Minocycline hydrochloride
Injekcje Calcium gluconate
5058
Zgodny
Injekcje Minocycline hydrochloride 0.2 mg/ml
Injekcje Cisatracurium besylate 0.1 >> 5 mg/ml
Glukoza 5% 299
Zgodny
Injekcje Minocycline hydrochloride 0.2 mg/ml
Injekcje Docetaxel 0.9 mg/ml
Glukoza 5% 1754
Nieokreślona niezgodność Niekompatybilny
Injekcje Minocycline hydrochloride
Injekcje Erythromycin lactobionate
3674
Zgodny
Injekcje Minocycline hydrochloride 0.2 mg/ml
Injekcje Etoposide phosphate 5 mg/ml
Glukoza 5% 1410
Zgodny
Injekcje Minocycline hydrochloride 0.2 mg/ml
Injekcje Filgrastim 30 µg/ml
Glukoza 5% 244
Natychmiastowe opady Niekompatybilny
Injekcje Minocycline hydrochloride 1 mg/ml
Żywienie pozajelitowe (lipidami) 4440
Zmiana koloru Niekompatybilny
Injekcje Minocycline hydrochloride 0.2 mg/ml
Injekcje Amifostine 10 mg/ml
Glukoza 5% 3
Zgodny
Injekcje Minocycline hydrochloride 0.2 mg/ml
Injekcje Aztreonam 40 mg/ml
Glukoza 5% 99
Zgodny
Injekcje Minocycline hydrochloride 0.2 mg/ml
Injekcje Fludarabine phosphate 1 mg/ml
Glukoza 5% 492
Natychmiastowe opady Niekompatybilny
Injekcje Minocycline hydrochloride
Injekcje Folinate calcium
5058
Zgodny
Injekcje Minocycline hydrochloride 0.2 mg/ml
Injekcje Gemcitabine hydrochloride 10 mg/ml
Chlorek sodu 0,9% 1423
Zgodny
Injekcje Minocycline hydrochloride 0.2 mg/ml
Injekcje Granisetron hydrochloride 0.05 mg/ml
Glukoza 5% 182
Zgodny
Injekcje Minocycline hydrochloride 0.2 mg/ml
Injekcje Heparin sodium 1 UI/ml
Roztwór Ringera z mleczanem sodowym 1228
Zgodny
Injekcje Minocycline hydrochloride 0.2 mg/ml
Injekcje Heparin sodium 1 UI/ml
Chlorek sodu 0,9% 1228
Zgodny
Injekcje Minocycline hydrochloride 0.2 mg/ml
Injekcje Heparin sodium 1 UI/ml
Glukoza 5% 1228
Zgodny
Injekcje Minocycline hydrochloride 50 mg/ml
Injekcje Hydrocortisone sodium succinate 1 mg/ml
Glukoza 5% 1228
Zgodny
Injekcje Minocycline hydrochloride 50 mg/ml
Injekcje Hydrocortisone sodium succinate 1 mg/ml
Roztwór Ringera z mleczanem sodowym 1228
Zgodny
Injekcje Minocycline hydrochloride 50 mg/ml
Injekcje Hydrocortisone sodium succinate 1 mg/ml
Chlorek sodu 0,9% 1228
Fargeendring etter 1 time Niekompatybilny
Injekcje Minocycline hydrochloride 0.2 mg/ml
Injekcje Hydromorphone hydrochloride 0.2 mg/ml
Glukoza 5% 405
Natychmiastowe opady Niekompatybilny
Injekcje Minocycline hydrochloride
Injekcje Levofolinate calcium
5058
Zgodny
Injekcje Minocycline hydrochloride 0.2 mg/ml
Injekcje Linezolid 2 mg/ml
Żaden 1925
Zgodny
Injekcje Minocycline hydrochloride 0.2 mg/ml
Injekcje Magnesium sulfate 16.67 >> 100 mg/ml
Glukoza 5% 1047
Zgodny
Injekcje Minocycline hydrochloride 0.2 mg/ml
Injekcje Melphalan 0.1 mg/ml
Chlorek sodu 0,9% 169
Nieokreślona niezgodność Niekompatybilny
Injekcje Minocycline hydrochloride
Injekcje Mitomycin
4471
Niestabilność chemiczna Niekompatybilny
Injekcje Minocycline hydrochloride
Injekcje Mitomycin
3128
Fargeendring etter 1 time Niekompatybilny
Injekcje Minocycline hydrochloride 0.2 mg/ml
Injekcje Morphine sulfate 1 mg/ml
Glukoza 5% 405
Nieokreślona niezgodność Niekompatybilny
Injekcje Minocycline hydrochloride
Injekcje Morphine sulfate
3531
Zmiana koloru po 4 godzinach Niekompatybilny
Injekcje Minocycline hydrochloride 0.2 mg/ml
Injekcje Pemetrexed disodium 20 mg/ml
Chlorek sodu 0,9% 1953
Fargeendring etter 1 time Niekompatybilny
Injekcje Minocycline hydrochloride 0.2 mg/ml
Injekcje Pethidine hydrochloride 10 mg/ml
Glukoza 5% 405
Natychmiastowe opady Niekompatybilny
Injekcje Minocycline hydrochloride 1 mg/ml
Injekcje Piperacillin sodium / tazobactam 40/5 mg/ml
Glukoza 5% 81
Zgodny
Injekcje Minocycline hydrochloride 50 mg/ml
Injekcje Potassium chloride 40 mEq/l
Glukoza 5% 1228
Zgodny
Injekcje Minocycline hydrochloride 50 mg/ml
Injekcje Potassium chloride 40 mEq/l
Chlorek sodu 0,9% 1228
Zgodny
Injekcje Minocycline hydrochloride 50 mg/ml
Injekcje Potassium chloride 40 mEq/l
Roztwór Ringera z mleczanem sodowym 1228
Zgodny
Injekcje Minocycline hydrochloride 0.2 mg/ml
Injekcje Teniposide 0.1 mg/ml
Glukoza 5% 905
Natychmiastowa niestabilność emulsji Niekompatybilny
Injekcje Minocycline hydrochloride 0.2 mg/ml
Żywienie pozajelitowe (lipidami) 1415
Natychmiastowe opady Niekompatybilny
Injekcje Minocycline hydrochloride 0.2 mg/ml
Injekcje Propofol 10 mg/ml
Żaden 300
Zgodny
Injekcje Minocycline hydrochloride 0.2 mg/ml
Injekcje Remifentanil hydrochloride 25 & 250 µg/ml
Chlorek sodu 0,9% 59
Zgodny
Injekcje Minocycline hydrochloride 0,1 mg/ml
Injekcje Rifampicin 0,1 mg/ml
Chlorek sodu 0,9% 263
Zgodny
Injekcje Minocycline hydrochloride 0.2 mg/ml
Injekcje Sargramostim 10 µg/ml
Chlorek sodu 0,9% 335
Zgodny
Injekcje Minocycline hydrochloride 0,4 mg/ml
Injekcje Sulbactam/durlobactam 15/15 mg/ml
Chlorek sodu 0,9% 4801
Fargeendring etter 1 time Niekompatybilny
Injekcje Minocycline hydrochloride 0.2 mg/ml
Injekcje Thiotepa 1 mg/ml
Glukoza 5% 249
Zgodny
Injekcje Minocycline hydrochloride
Roztwór Ringera z mleczanem sodowym 5058
Zgodny
Injekcje Minocycline hydrochloride
Glukoza 5% 5058
Zgodny
Injekcje Minocycline hydrochloride
Chlorek sodu 0,9% 5058
Zgodny
Injekcje Minocycline hydrochloride 0.2 mg/ml
Injekcje Vinorelbine tartrate 1 mg/ml
Chlorek sodu 0,9% 84
Zmiana koloru Niekompatybilny
Injekcje Minocycline hydrochloride 0.2 mg/ml
Odżywianie pozajelitowe (mieszanina binarny) 301

  Mentions Légales