Dernière mise à jour :
18/03/2026
Antibiotique   Minocycline hydrochloride  
injectable
Solution buvable
Stabilité des solutions Stabilité en mélange Facteur influençant la stabilité Compatibilités Voie d’administration Bibliographie pdf
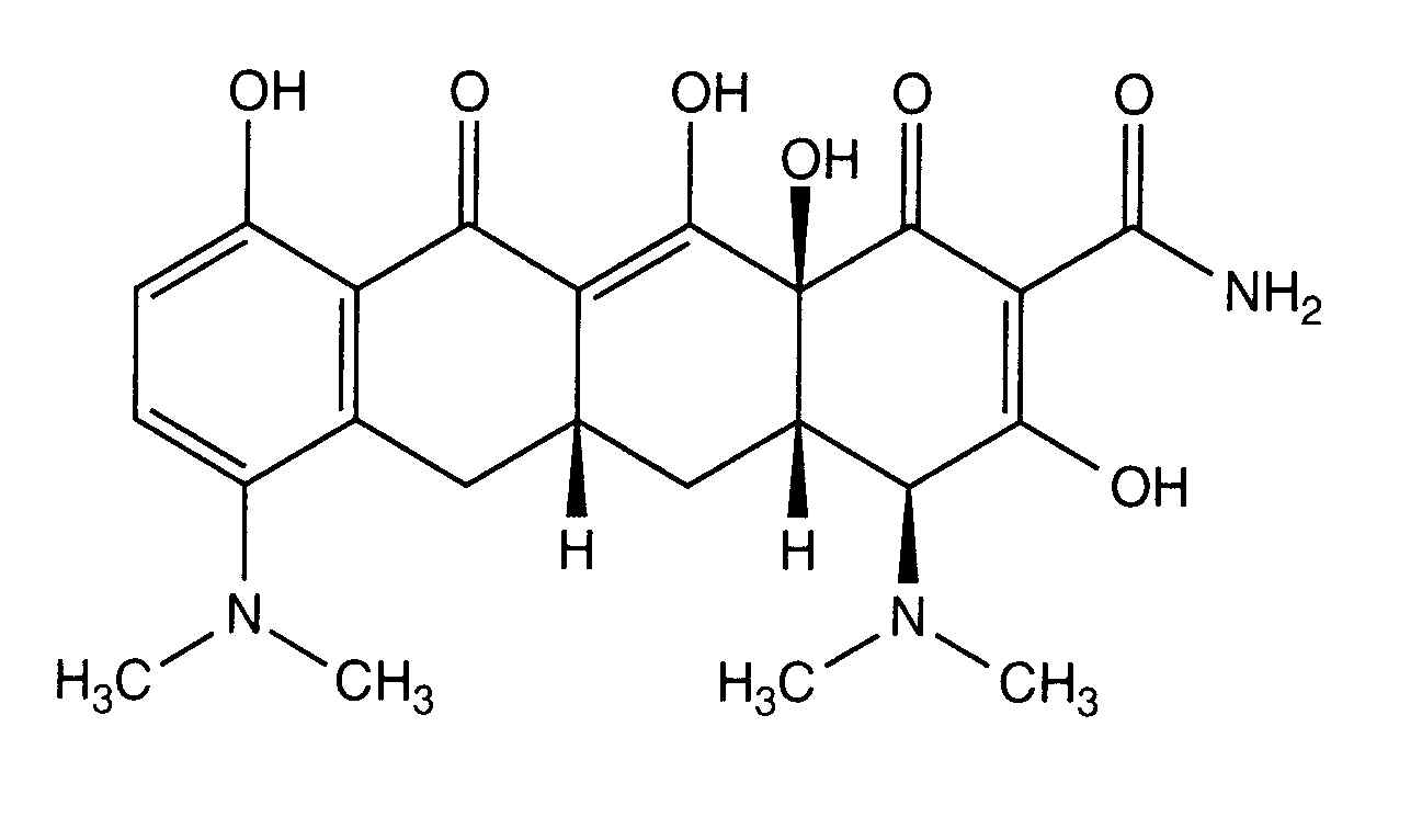
   Structure chimique  

Noms commerciaux   Noms commerciaux     

Les noms commerciaux sont donnés à titre indicatif et la composition en excipients peut être différente selon les pays et selon les laboratoires

Minocin Etats Unis d’Amérique
Compatibilités   injectable   Compatibilités : Minocycline hydrochloride              
Cet écran indique les compatibilités ou incompatibilités avec, dans ce cas, le type d'incompatibilité (précipitation, changement de couleur, modification d'une émulsion, etc.). Les compatibilités présentées ici sont pour la plupart uniquement physiques, la stabilité chimique de chaque molécule étant rarement évaluée. L'évaluation de ces mélanges a été étudiée pour envisager la possibilité d'une administration en site Y au patient. Ces données ne peuvent pas être utilisées pour préparer des mélanges à l'avance dans des poches de perfusion ou des seringues. Ce type d'informations est disponible dans l'écran « Stabilité en mélange ».
Molécule Solvant Bibliographie
Changement de couleur à 4 heures Incompatible
injectable Minocycline hydrochloride 0.2 mg/ml
injectable Allopurinol sodium 3 mg/ml
Chlorure de sodium 0,9% 307
Précipitation immédiate Incompatible
injectable Minocycline hydrochloride
injectable Calcium chloride
5058
Précipitation immédiate Incompatible
injectable Minocycline hydrochloride
injectable Calcium glucoheptonate
5058
Incompatibilité non précisée Incompatible
injectable Minocycline hydrochloride
injectable Calcium gluconate
3644
Précipitation immédiate Incompatible
injectable Minocycline hydrochloride
injectable Calcium gluconate
5058
Compatible
injectable Minocycline hydrochloride 0.2 mg/ml
injectable Cisatracurium besylate 0.1 >> 5 mg/ml
Glucose 5% 299
Compatible
injectable Minocycline hydrochloride 0.2 mg/ml
injectable Docetaxel 0.9 mg/ml
Glucose 5% 1754
Incompatibilité non précisée Incompatible
injectable Minocycline hydrochloride
injectable Erythromycin lactobionate
3674
Compatible
injectable Minocycline hydrochloride 0.2 mg/ml
injectable Etoposide phosphate 5 mg/ml
Glucose 5% 1410
Compatible
injectable Minocycline hydrochloride 0.2 mg/ml
injectable Filgrastim 30 µg/ml
Glucose 5% 244
Précipitation immédiate Incompatible
injectable Minocycline hydrochloride 1 mg/ml
Nutrition parentérale (mélange ternaire) 4440
Changement de couleur Incompatible
injectable Minocycline hydrochloride 0.2 mg/ml
injectable Amifostine 10 mg/ml
Glucose 5% 3
Compatible
injectable Minocycline hydrochloride 0.2 mg/ml
injectable Aztreonam 40 mg/ml
Glucose 5% 99
Compatible
injectable Minocycline hydrochloride 0.2 mg/ml
injectable Fludarabine phosphate 1 mg/ml
Glucose 5% 492
Précipitation immédiate Incompatible
injectable Minocycline hydrochloride
injectable Folinate calcium
5058
Compatible
injectable Minocycline hydrochloride 0.2 mg/ml
injectable Gemcitabine hydrochloride 10 mg/ml
Chlorure de sodium 0,9% 1423
Compatible
injectable Minocycline hydrochloride 0.2 mg/ml
injectable Granisetron hydrochloride 0.05 mg/ml
Glucose 5% 182
Compatible
injectable Minocycline hydrochloride 0.2 mg/ml
injectable Heparin sodium 1 UI/ml
Ringer lactate 1228
Compatible
injectable Minocycline hydrochloride 0.2 mg/ml
injectable Heparin sodium 1 UI/ml
Chlorure de sodium 0,9% 1228
Compatible
injectable Minocycline hydrochloride 0.2 mg/ml
injectable Heparin sodium 1 UI/ml
Glucose 5% 1228
Compatible
injectable Minocycline hydrochloride 50 mg/ml
injectable Hydrocortisone sodium succinate 1 mg/ml
Glucose 5% 1228
Compatible
injectable Minocycline hydrochloride 50 mg/ml
injectable Hydrocortisone sodium succinate 1 mg/ml
Ringer lactate 1228
Compatible
injectable Minocycline hydrochloride 50 mg/ml
injectable Hydrocortisone sodium succinate 1 mg/ml
Chlorure de sodium 0,9% 1228
Changement de couleur après 1 heure Incompatible
injectable Minocycline hydrochloride 0.2 mg/ml
injectable Hydromorphone hydrochloride 0.2 mg/ml
Glucose 5% 405
Précipitation immédiate Incompatible
injectable Minocycline hydrochloride
injectable Levofolinate calcium
5058
Compatible
injectable Minocycline hydrochloride 0.2 mg/ml
injectable Linezolid 2 mg/ml
Aucun 1925
Compatible
injectable Minocycline hydrochloride 0.2 mg/ml
injectable Magnesium sulfate 16.67 >> 100 mg/ml
Glucose 5% 1047
Compatible
injectable Minocycline hydrochloride 0.2 mg/ml
injectable Melphalan 0.1 mg/ml
Chlorure de sodium 0,9% 169
Incompatibilité non précisée Incompatible
injectable Minocycline hydrochloride
injectable Mitomycin
4471
Instabilité chimique Incompatible
injectable Minocycline hydrochloride
injectable Mitomycin
3128
Changement de couleur après 1 heure Incompatible
injectable Minocycline hydrochloride 0.2 mg/ml
injectable Morphine sulfate 1 mg/ml
Glucose 5% 405
Incompatibilité non précisée Incompatible
injectable Minocycline hydrochloride
injectable Morphine sulfate
3531
Changement de couleur à 4 heures Incompatible
injectable Minocycline hydrochloride 0.2 mg/ml
injectable Pemetrexed disodium 20 mg/ml
Chlorure de sodium 0,9% 1953
Changement de couleur après 1 heure Incompatible
injectable Minocycline hydrochloride 0.2 mg/ml
injectable Pethidine hydrochloride 10 mg/ml
Glucose 5% 405
Précipitation immédiate Incompatible
injectable Minocycline hydrochloride 1 mg/ml
injectable Piperacillin sodium / tazobactam 40/5 mg/ml
Glucose 5% 81
Compatible
injectable Minocycline hydrochloride 50 mg/ml
injectable Potassium chloride 40 mEq/l
Glucose 5% 1228
Compatible
injectable Minocycline hydrochloride 50 mg/ml
injectable Potassium chloride 40 mEq/l
Chlorure de sodium 0,9% 1228
Compatible
injectable Minocycline hydrochloride 50 mg/ml
injectable Potassium chloride 40 mEq/l
Ringer lactate 1228
Compatible
injectable Minocycline hydrochloride 0.2 mg/ml
injectable Teniposide 0.1 mg/ml
Glucose 5% 905
Instabilité de l'émulsion immédiate Incompatible
injectable Minocycline hydrochloride 0.2 mg/ml
Nutrition parentérale (mélange ternaire) 1415
Précipitation immédiate Incompatible
injectable Minocycline hydrochloride 0.2 mg/ml
injectable Propofol 10 mg/ml
Aucun 300
Compatible
injectable Minocycline hydrochloride 0.2 mg/ml
injectable Remifentanil hydrochloride 25 & 250 µg/ml
Chlorure de sodium 0,9% 59
Compatible
injectable Minocycline hydrochloride 0,1 mg/ml
injectable Rifampicin 0,1 mg/ml
Chlorure de sodium 0,9% 263
Compatible
injectable Minocycline hydrochloride 0.2 mg/ml
injectable Sargramostim 10 µg/ml
Chlorure de sodium 0,9% 335
Compatible
injectable Minocycline hydrochloride 0,4 mg/ml
injectable Sulbactam/durlobactam 15/15 mg/ml
Chlorure de sodium 0,9% 4801
Changement de couleur après 1 heure Incompatible
injectable Minocycline hydrochloride 0.2 mg/ml
injectable Thiotepa 1 mg/ml
Glucose 5% 249
Compatible
injectable Minocycline hydrochloride
Ringer lactate 5058
Compatible
injectable Minocycline hydrochloride
Glucose 5% 5058
Compatible
injectable Minocycline hydrochloride
Chlorure de sodium 0,9% 5058
Compatible
injectable Minocycline hydrochloride 0.2 mg/ml
injectable Vinorelbine tartrate 1 mg/ml
Chlorure de sodium 0,9% 84
Changement de couleur Incompatible
injectable Minocycline hydrochloride 0.2 mg/ml
Nutrition parentérale (mélange binaire) 301

  Mentions Légales