Seneste opdatering :
18/03/2026
Antibiotisk   Minocycline hydrochloride  
Injektion
Oral opløsning
Stabilitet i (vandige) opløsninger Stabilitet i blandinger Faktorer der påvirker stabiliteten Kompatibilitet Administrationsvej Bibliografi pdf
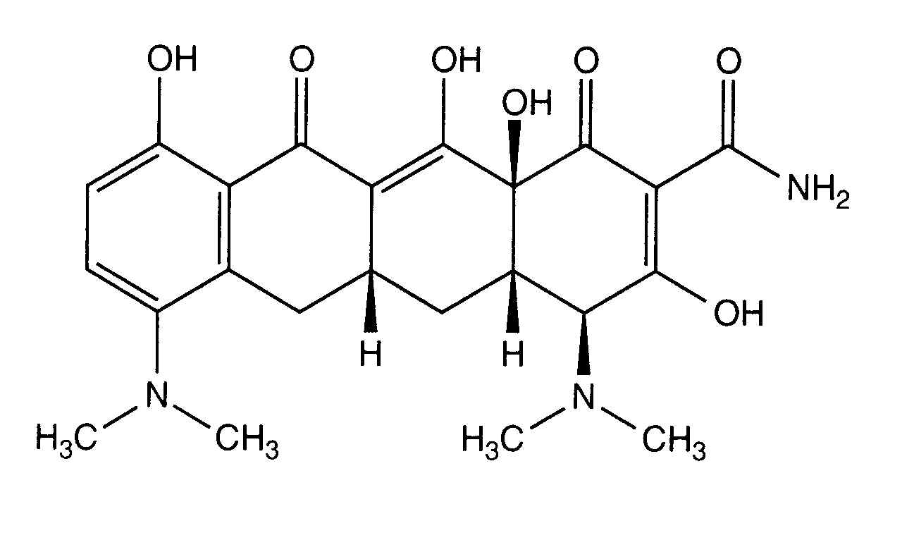
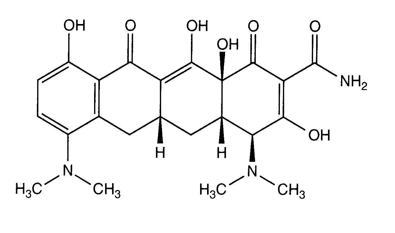
   Kemisk struktur  

Handelsnavn   Handelsnavn     

Handel navne er vejledende og hjælpestoffer sammensætning kan være forskellig afhængigt af landet og laboratorier

Minocin USA
Kompatibilitet   Injektion   Kompatibilitet : Minocycline hydrochloride              
Denne skærm viser kompatibilitet eller uforenelighed med, i dette tilfælde typen af inkompatibilitet (udfældning, farveændring, ændring af en emulsion osv.). Kompatibiliteterne vist her er for det meste kun fysiske, idet den kemiske stabilitet af hvert molekyle sjældent vurderes. Evalueringen af disse blandinger blev undersøgt for at overveje muligheden for Y-sted-administration til patienten. Disse data kan ikke bruges til at fremstille blandinger på forhånd i poser eller sprøjter. Denne type information findes på skærmen "Stabilitet i blanding".
Molekyle Opløsningsmiddel Bibliografi
Farveændring efter 4 timer Uforenelig
Injektion Minocycline hydrochloride 0.2 mg/ml
Injektion Allopurinol sodium 3 mg/ml
0,9 % Natriumklorid 307
Umiddelbar nedbør Uforenelig
Injektion Minocycline hydrochloride
Injektion Calcium chloride
5058
Umiddelbar nedbør Uforenelig
Injektion Minocycline hydrochloride
Injektion Calcium glucoheptonate
5058
Uspecificeret inkompatibilitet Uforenelig
Injektion Minocycline hydrochloride
Injektion Calcium gluconate
3644
Umiddelbar nedbør Uforenelig
Injektion Minocycline hydrochloride
Injektion Calcium gluconate
5058
Kompatibel
Injektion Minocycline hydrochloride 0.2 mg/ml
Injektion Cisatracurium besylate 0.1 >> 5 mg/ml
5 % Glukose 299
Kompatibel
Injektion Minocycline hydrochloride 0.2 mg/ml
Injektion Docetaxel 0.9 mg/ml
5 % Glukose 1754
Uspecificeret inkompatibilitet Uforenelig
Injektion Minocycline hydrochloride
Injektion Erythromycin lactobionate
3674
Kompatibel
Injektion Minocycline hydrochloride 0.2 mg/ml
Injektion Etoposide phosphate 5 mg/ml
5 % Glukose 1410
Kompatibel
Injektion Minocycline hydrochloride 0.2 mg/ml
Injektion Filgrastim 30 µg/ml
5 % Glukose 244
Umiddelbar nedbør Uforenelig
Injektion Minocycline hydrochloride 1 mg/ml
Parenteral ernæring (lipider) 4440
Farveændring Uforenelig
Injektion Minocycline hydrochloride 0.2 mg/ml
Injektion Amifostine 10 mg/ml
5 % Glukose 3
Kompatibel
Injektion Minocycline hydrochloride 0.2 mg/ml
Injektion Aztreonam 40 mg/ml
5 % Glukose 99
Kompatibel
Injektion Minocycline hydrochloride 0.2 mg/ml
Injektion Fludarabine phosphate 1 mg/ml
5 % Glukose 492
Umiddelbar nedbør Uforenelig
Injektion Minocycline hydrochloride
Injektion Folinate calcium
5058
Kompatibel
Injektion Minocycline hydrochloride 0.2 mg/ml
Injektion Gemcitabine hydrochloride 10 mg/ml
0,9 % Natriumklorid 1423
Kompatibel
Injektion Minocycline hydrochloride 0.2 mg/ml
Injektion Granisetron hydrochloride 0.05 mg/ml
5 % Glukose 182
Kompatibel
Injektion Minocycline hydrochloride 0.2 mg/ml
Injektion Heparin sodium 1 UI/ml
Ringer laktat 1228
Kompatibel
Injektion Minocycline hydrochloride 0.2 mg/ml
Injektion Heparin sodium 1 UI/ml
0,9 % Natriumklorid 1228
Kompatibel
Injektion Minocycline hydrochloride 0.2 mg/ml
Injektion Heparin sodium 1 UI/ml
5 % Glukose 1228
Kompatibel
Injektion Minocycline hydrochloride 50 mg/ml
Injektion Hydrocortisone sodium succinate 1 mg/ml
5 % Glukose 1228
Kompatibel
Injektion Minocycline hydrochloride 50 mg/ml
Injektion Hydrocortisone sodium succinate 1 mg/ml
Ringer laktat 1228
Kompatibel
Injektion Minocycline hydrochloride 50 mg/ml
Injektion Hydrocortisone sodium succinate 1 mg/ml
0,9 % Natriumklorid 1228
Farveændring efter 1 time Uforenelig
Injektion Minocycline hydrochloride 0.2 mg/ml
Injektion Hydromorphone hydrochloride 0.2 mg/ml
5 % Glukose 405
Umiddelbar nedbør Uforenelig
Injektion Minocycline hydrochloride
Injektion Levofolinate calcium
5058
Kompatibel
Injektion Minocycline hydrochloride 0.2 mg/ml
Injektion Linezolid 2 mg/ml
Ingen 1925
Kompatibel
Injektion Minocycline hydrochloride 0.2 mg/ml
Injektion Magnesium sulfate 16.67 >> 100 mg/ml
5 % Glukose 1047
Kompatibel
Injektion Minocycline hydrochloride 0.2 mg/ml
Injektion Melphalan 0.1 mg/ml
0,9 % Natriumklorid 169
Uspecificeret inkompatibilitet Uforenelig
Injektion Minocycline hydrochloride
Injektion Mitomycin
4471
Kemisk ustabilitet Uforenelig
Injektion Minocycline hydrochloride
Injektion Mitomycin
3128
Farveændring efter 1 time Uforenelig
Injektion Minocycline hydrochloride 0.2 mg/ml
Injektion Morphine sulfate 1 mg/ml
5 % Glukose 405
Uspecificeret inkompatibilitet Uforenelig
Injektion Minocycline hydrochloride
Injektion Morphine sulfate
3531
Farveændring efter 4 timer Uforenelig
Injektion Minocycline hydrochloride 0.2 mg/ml
Injektion Pemetrexed disodium 20 mg/ml
0,9 % Natriumklorid 1953
Farveændring efter 1 time Uforenelig
Injektion Minocycline hydrochloride 0.2 mg/ml
Injektion Pethidine hydrochloride 10 mg/ml
5 % Glukose 405
Umiddelbar nedbør Uforenelig
Injektion Minocycline hydrochloride 1 mg/ml
Injektion Piperacillin sodium / tazobactam 40/5 mg/ml
5 % Glukose 81
Kompatibel
Injektion Minocycline hydrochloride 50 mg/ml
Injektion Potassium chloride 40 mEq/l
5 % Glukose 1228
Kompatibel
Injektion Minocycline hydrochloride 50 mg/ml
Injektion Potassium chloride 40 mEq/l
0,9 % Natriumklorid 1228
Kompatibel
Injektion Minocycline hydrochloride 50 mg/ml
Injektion Potassium chloride 40 mEq/l
Ringer laktat 1228
Kompatibel
Injektion Minocycline hydrochloride 0.2 mg/ml
Injektion Teniposide 0.1 mg/ml
5 % Glukose 905
Umiddelbar ustabilitet af emulsionen Uforenelig
Injektion Minocycline hydrochloride 0.2 mg/ml
Parenteral ernæring (lipider) 1415
Umiddelbar nedbør Uforenelig
Injektion Minocycline hydrochloride 0.2 mg/ml
Injektion Propofol 10 mg/ml
Ingen 300
Kompatibel
Injektion Minocycline hydrochloride 0.2 mg/ml
Injektion Remifentanil hydrochloride 25 & 250 µg/ml
0,9 % Natriumklorid 59
Kompatibel
Injektion Minocycline hydrochloride 0,1 mg/ml
Injektion Rifampicin 0,1 mg/ml
0,9 % Natriumklorid 263
Kompatibel
Injektion Minocycline hydrochloride 0.2 mg/ml
Injektion Sargramostim 10 µg/ml
0,9 % Natriumklorid 335
Kompatibel
Injektion Minocycline hydrochloride 0,4 mg/ml
Injektion Sulbactam/durlobactam 15/15 mg/ml
0,9 % Natriumklorid 4801
Farveændring efter 1 time Uforenelig
Injektion Minocycline hydrochloride 0.2 mg/ml
Injektion Thiotepa 1 mg/ml
5 % Glukose 249
Kompatibel
Injektion Minocycline hydrochloride
Ringer laktat 5058
Kompatibel
Injektion Minocycline hydrochloride
5 % Glukose 5058
Kompatibel
Injektion Minocycline hydrochloride
0,9 % Natriumklorid 5058
Kompatibel
Injektion Minocycline hydrochloride 0.2 mg/ml
Injektion Vinorelbine tartrate 1 mg/ml
0,9 % Natriumklorid 84
Farveændring Uforenelig
Injektion Minocycline hydrochloride 0.2 mg/ml
Parenteral ernæring (lipid-fri) 301

  Mentions Légales