Posledná aktualizácia :
18/03/2026
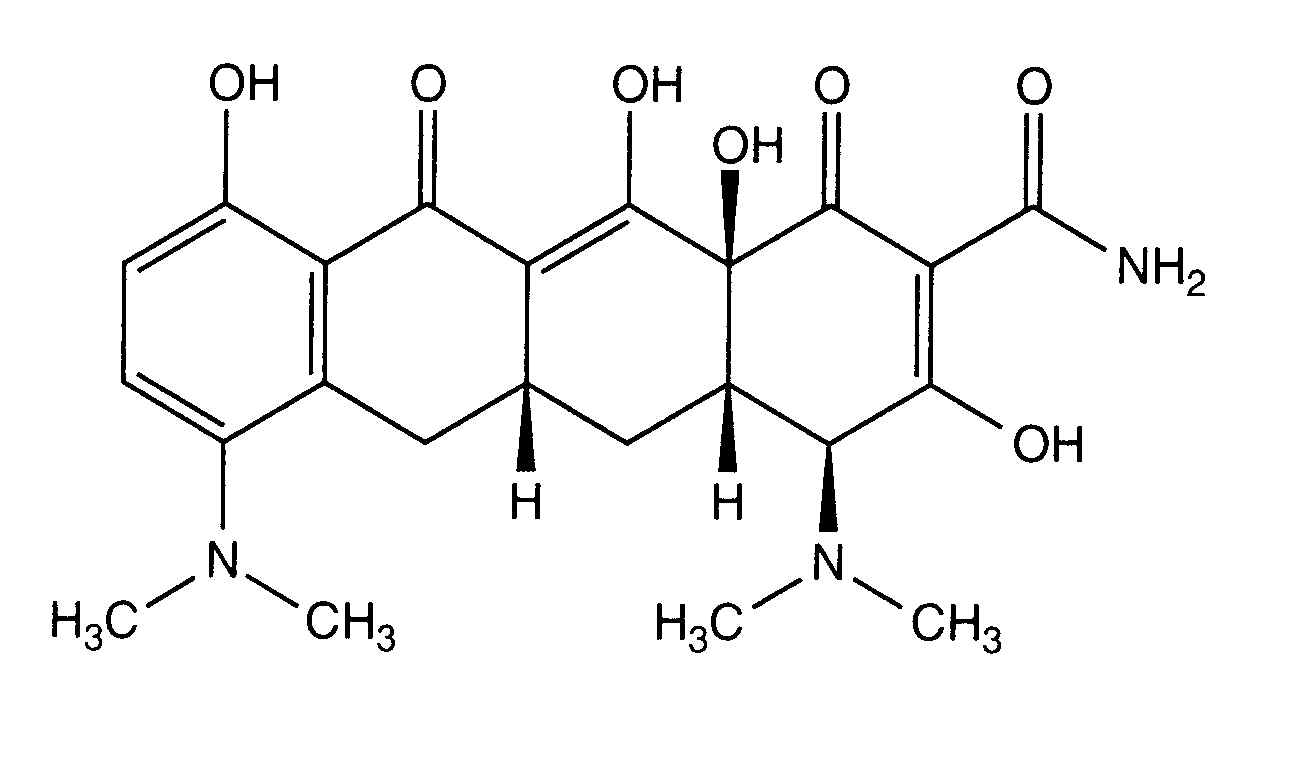
antibiotikum   Minocycline hydrochloride  
Injekcia
Perorálny roztok
Stabilita roztokov Stabilita v zmesiach Faktory ovplyvňujúce stabilitu Kompatibility spôsob podania Odkazy na literatúru PDF
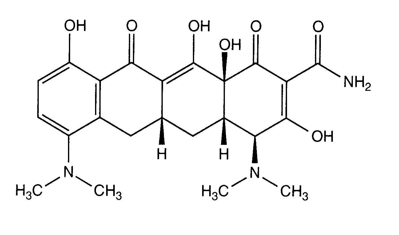
   Chemický vzorec  

Obchodný názov   Obchodný názov     

Obchodné názvy sú orientačné, a zloženie pomocných látok sa môže líšiť v závislosti od krajiny a výrobcu.

Minocin Spojené štáty Americké
Kompatibility   Injekcia   Kompatibility : Minocycline hydrochloride              
Toto okno zobrazuje kompatibility alebo inkombatibility, v prípade inkompatibility aj jej typ (vyzrážanie, zmena farby, zmena emulzie atď.). Tu vymenované kompatibility sú väčšinou len fyzikálne, chemická stabilita každej zo zlúčenín sa hodnotila len zriedkavo. Tieto zmesi sa skúmali za účelom možnosti súbežného podávania pacientovi cez infúznu spojku Y. Údaje sa nedajú použiť na prípravu zmesí vo vakoch alebo striekačkách. Taká informácia sa nachádza v okne „Stabilita v zmesiach“.
Zlúčenina rozpúšťadlo odkazy na lieteratúru
Zmena farby po 4 hodinách nezlučiteľný
Injekcia Minocycline hydrochloride 0.2 mg/ml
Injekcia Allopurinol sodium 3 mg/ml
0,9% chlorid sodný 307
Okamžité zrážanie nezlučiteľný
Injekcia Minocycline hydrochloride
Injekcia Calcium chloride
5058
Okamžité zrážanie nezlučiteľný
Injekcia Minocycline hydrochloride
Injekcia Calcium glucoheptonate
5058
Nešpecifikovaná nekompatibilita nezlučiteľný
Injekcia Minocycline hydrochloride
Injekcia Calcium gluconate
3644
Okamžité zrážanie nezlučiteľný
Injekcia Minocycline hydrochloride
Injekcia Calcium gluconate
5058
kompatibilný
Injekcia Minocycline hydrochloride 0.2 mg/ml
Injekcia Cisatracurium besylate 0.1 >> 5 mg/ml
5% glukóza 299
kompatibilný
Injekcia Minocycline hydrochloride 0.2 mg/ml
Injekcia Docetaxel 0.9 mg/ml
5% glukóza 1754
Nešpecifikovaná nekompatibilita nezlučiteľný
Injekcia Minocycline hydrochloride
Injekcia Erythromycin lactobionate
3674
kompatibilný
Injekcia Minocycline hydrochloride 0.2 mg/ml
Injekcia Etoposide phosphate 5 mg/ml
5% glukóza 1410
kompatibilný
Injekcia Minocycline hydrochloride 0.2 mg/ml
Injekcia Filgrastim 30 µg/ml
5% glukóza 244
Okamžité zrážanie nezlučiteľný
Injekcia Minocycline hydrochloride 1 mg/ml
Parenterálna výživa (lipidy) 4440
Zmena farby nezlučiteľný
Injekcia Minocycline hydrochloride 0.2 mg/ml
Injekcia Amifostine 10 mg/ml
5% glukóza 3
kompatibilný
Injekcia Minocycline hydrochloride 0.2 mg/ml
Injekcia Aztreonam 40 mg/ml
5% glukóza 99
kompatibilný
Injekcia Minocycline hydrochloride 0.2 mg/ml
Injekcia Fludarabine phosphate 1 mg/ml
5% glukóza 492
Okamžité zrážanie nezlučiteľný
Injekcia Minocycline hydrochloride
Injekcia Folinate calcium
5058
kompatibilný
Injekcia Minocycline hydrochloride 0.2 mg/ml
Injekcia Gemcitabine hydrochloride 10 mg/ml
0,9% chlorid sodný 1423
kompatibilný
Injekcia Minocycline hydrochloride 0.2 mg/ml
Injekcia Granisetron hydrochloride 0.05 mg/ml
5% glukóza 182
kompatibilný
Injekcia Minocycline hydrochloride 0.2 mg/ml
Injekcia Heparin sodium 1 UI/ml
Ringerov laktátový roztok 1228
kompatibilný
Injekcia Minocycline hydrochloride 0.2 mg/ml
Injekcia Heparin sodium 1 UI/ml
0,9% chlorid sodný 1228
kompatibilný
Injekcia Minocycline hydrochloride 0.2 mg/ml
Injekcia Heparin sodium 1 UI/ml
5% glukóza 1228
kompatibilný
Injekcia Minocycline hydrochloride 50 mg/ml
Injekcia Hydrocortisone sodium succinate 1 mg/ml
5% glukóza 1228
kompatibilný
Injekcia Minocycline hydrochloride 50 mg/ml
Injekcia Hydrocortisone sodium succinate 1 mg/ml
Ringerov laktátový roztok 1228
kompatibilný
Injekcia Minocycline hydrochloride 50 mg/ml
Injekcia Hydrocortisone sodium succinate 1 mg/ml
0,9% chlorid sodný 1228
Zmena farby po 1 hodine nezlučiteľný
Injekcia Minocycline hydrochloride 0.2 mg/ml
Injekcia Hydromorphone hydrochloride 0.2 mg/ml
5% glukóza 405
Okamžité zrážanie nezlučiteľný
Injekcia Minocycline hydrochloride
Injekcia Levofolinate calcium
5058
kompatibilný
Injekcia Minocycline hydrochloride 0.2 mg/ml
Injekcia Linezolid 2 mg/ml
Žiadny 1925
kompatibilný
Injekcia Minocycline hydrochloride 0.2 mg/ml
Injekcia Magnesium sulfate 16.67 >> 100 mg/ml
5% glukóza 1047
kompatibilný
Injekcia Minocycline hydrochloride 0.2 mg/ml
Injekcia Melphalan 0.1 mg/ml
0,9% chlorid sodný 169
Nešpecifikovaná nekompatibilita nezlučiteľný
Injekcia Minocycline hydrochloride
Injekcia Mitomycin
4471
Chemická nestabilita nezlučiteľný
Injekcia Minocycline hydrochloride
Injekcia Mitomycin
3128
Zmena farby po 1 hodine nezlučiteľný
Injekcia Minocycline hydrochloride 0.2 mg/ml
Injekcia Morphine sulfate 1 mg/ml
5% glukóza 405
Nešpecifikovaná nekompatibilita nezlučiteľný
Injekcia Minocycline hydrochloride
Injekcia Morphine sulfate
3531
Zmena farby po 4 hodinách nezlučiteľný
Injekcia Minocycline hydrochloride 0.2 mg/ml
Injekcia Pemetrexed disodium 20 mg/ml
0,9% chlorid sodný 1953
Zmena farby po 1 hodine nezlučiteľný
Injekcia Minocycline hydrochloride 0.2 mg/ml
Injekcia Pethidine hydrochloride 10 mg/ml
5% glukóza 405
Okamžité zrážanie nezlučiteľný
Injekcia Minocycline hydrochloride 1 mg/ml
Injekcia Piperacillin sodium / tazobactam 40/5 mg/ml
5% glukóza 81
kompatibilný
Injekcia Minocycline hydrochloride 50 mg/ml
Injekcia Potassium chloride 40 mEq/l
5% glukóza 1228
kompatibilný
Injekcia Minocycline hydrochloride 50 mg/ml
Injekcia Potassium chloride 40 mEq/l
0,9% chlorid sodný 1228
kompatibilný
Injekcia Minocycline hydrochloride 50 mg/ml
Injekcia Potassium chloride 40 mEq/l
Ringerov laktátový roztok 1228
kompatibilný
Injekcia Minocycline hydrochloride 0.2 mg/ml
Injekcia Teniposide 0.1 mg/ml
5% glukóza 905
Okamžitá nestabilita emulzie nezlučiteľný
Injekcia Minocycline hydrochloride 0.2 mg/ml
Parenterálna výživa (lipidy) 1415
Okamžité zrážanie nezlučiteľný
Injekcia Minocycline hydrochloride 0.2 mg/ml
Injekcia Propofol 10 mg/ml
Žiadny 300
kompatibilný
Injekcia Minocycline hydrochloride 0.2 mg/ml
Injekcia Remifentanil hydrochloride 25 & 250 µg/ml
0,9% chlorid sodný 59
kompatibilný
Injekcia Minocycline hydrochloride 0,1 mg/ml
Injekcia Rifampicin 0,1 mg/ml
0,9% chlorid sodný 263
kompatibilný
Injekcia Minocycline hydrochloride 0.2 mg/ml
Injekcia Sargramostim 10 µg/ml
0,9% chlorid sodný 335
kompatibilný
Injekcia Minocycline hydrochloride 0,4 mg/ml
Injekcia Sulbactam/durlobactam 15/15 mg/ml
0,9% chlorid sodný 4801
Zmena farby po 1 hodine nezlučiteľný
Injekcia Minocycline hydrochloride 0.2 mg/ml
Injekcia Thiotepa 1 mg/ml
5% glukóza 249
kompatibilný
Injekcia Minocycline hydrochloride
Ringerov laktátový roztok 5058
kompatibilný
Injekcia Minocycline hydrochloride
5% glukóza 5058
kompatibilný
Injekcia Minocycline hydrochloride
0,9% chlorid sodný 5058
kompatibilný
Injekcia Minocycline hydrochloride 0.2 mg/ml
Injekcia Vinorelbine tartrate 1 mg/ml
0,9% chlorid sodný 84
Zmena farby nezlučiteľný
Injekcia Minocycline hydrochloride 0.2 mg/ml
parenterálna výživa (binárna zmes) 301

  Mentions Légales