viimane versioon :
18/03/2026
antibiootikum   Minocycline hydrochloride  
Süsteravim
suukaudne lahus
Stabiilsus lahustes Stabiilsust mõjutavad tegurid stabiilsust mõjutavad faktorid Sobimatus Manustamis viis Viited pdf
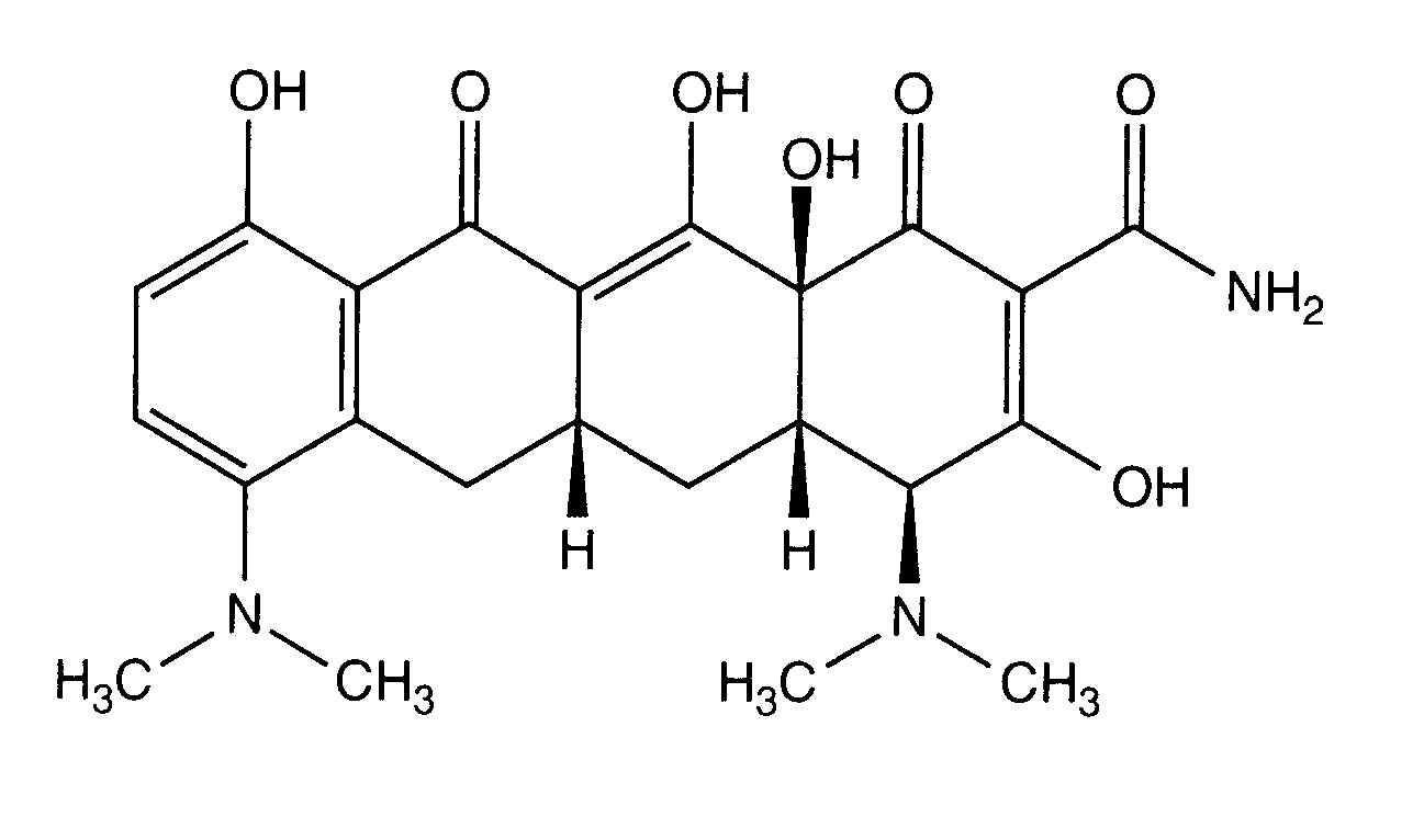
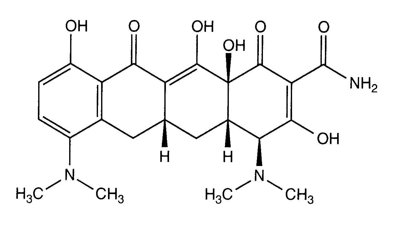
   keemiline struktuur  

Kaubanduslikud nimed erinevates maades   Kaubanduslikud nimed erinevates maades     

Preparaatide nimed on näitlikud ja abianete sisaldus võib erineda sõltuvalt riigist ja laborist

Minocin Ameerika ühendriigid
Sobimatus   Süsteravim   Sobimatus : Minocycline hydrochloride              
Sellel lehel kuvatakse sobimatusi ja sobimatuse tüüpi (sadenemine, värvuse muutus, emulsiooni modifitseerumine jne). Enamasti on siin lehel kuvatud füüsikalised sobimatused, kuna molekulide keemilist stabiilsust hinnatakse harva. Hinnatud on segude sobivust Y-liinis. Antud infot ei saa kasutada ravimite sobivuse hindamiseks juhul, kui ravimid on segatud süstaldes või infusioonikottides. See info on lehel « stabiilsus segudes ».
ingredient lahusti Viited
Värvi muutus 4 tunni pärast Sobimatu
Süsteravim Minocycline hydrochloride 0.2 mg/ml
Süsteravim Allopurinol sodium 3 mg/ml
naatriumkloriid 0.9% 307
Kohene sade Sobimatu
Süsteravim Minocycline hydrochloride
Süsteravim Calcium chloride
5058
Kohene sade Sobimatu
Süsteravim Minocycline hydrochloride
Süsteravim Calcium glucoheptonate
5058
Täpsustamata sobimatus Sobimatu
Süsteravim Minocycline hydrochloride
Süsteravim Calcium gluconate
3644
Kohene sade Sobimatu
Süsteravim Minocycline hydrochloride
Süsteravim Calcium gluconate
5058
Ühilduv
Süsteravim Minocycline hydrochloride 0.2 mg/ml
Süsteravim Cisatracurium besylate 0.1 >> 5 mg/ml
glükoos 5% 299
Ühilduv
Süsteravim Minocycline hydrochloride 0.2 mg/ml
Süsteravim Docetaxel 0.9 mg/ml
glükoos 5% 1754
Täpsustamata sobimatus Sobimatu
Süsteravim Minocycline hydrochloride
Süsteravim Erythromycin lactobionate
3674
Ühilduv
Süsteravim Minocycline hydrochloride 0.2 mg/ml
Süsteravim Etoposide phosphate 5 mg/ml
glükoos 5% 1410
Ühilduv
Süsteravim Minocycline hydrochloride 0.2 mg/ml
Süsteravim Filgrastim 30 µg/ml
glükoos 5% 244
Kohene sade Sobimatu
Süsteravim Minocycline hydrochloride 1 mg/ml
Parenteraalse toitmise (lipiidide) 4440
Värvimuutus Sobimatu
Süsteravim Minocycline hydrochloride 0.2 mg/ml
Süsteravim Amifostine 10 mg/ml
glükoos 5% 3
Ühilduv
Süsteravim Minocycline hydrochloride 0.2 mg/ml
Süsteravim Aztreonam 40 mg/ml
glükoos 5% 99
Ühilduv
Süsteravim Minocycline hydrochloride 0.2 mg/ml
Süsteravim Fludarabine phosphate 1 mg/ml
glükoos 5% 492
Kohene sade Sobimatu
Süsteravim Minocycline hydrochloride
Süsteravim Folinate calcium
5058
Ühilduv
Süsteravim Minocycline hydrochloride 0.2 mg/ml
Süsteravim Gemcitabine hydrochloride 10 mg/ml
naatriumkloriid 0.9% 1423
Ühilduv
Süsteravim Minocycline hydrochloride 0.2 mg/ml
Süsteravim Granisetron hydrochloride 0.05 mg/ml
glükoos 5% 182
Ühilduv
Süsteravim Minocycline hydrochloride 0.2 mg/ml
Süsteravim Heparin sodium 1 UI/ml
Ringer laktaat 1228
Ühilduv
Süsteravim Minocycline hydrochloride 0.2 mg/ml
Süsteravim Heparin sodium 1 UI/ml
naatriumkloriid 0.9% 1228
Ühilduv
Süsteravim Minocycline hydrochloride 0.2 mg/ml
Süsteravim Heparin sodium 1 UI/ml
glükoos 5% 1228
Ühilduv
Süsteravim Minocycline hydrochloride 50 mg/ml
Süsteravim Hydrocortisone sodium succinate 1 mg/ml
glükoos 5% 1228
Ühilduv
Süsteravim Minocycline hydrochloride 50 mg/ml
Süsteravim Hydrocortisone sodium succinate 1 mg/ml
Ringer laktaat 1228
Ühilduv
Süsteravim Minocycline hydrochloride 50 mg/ml
Süsteravim Hydrocortisone sodium succinate 1 mg/ml
naatriumkloriid 0.9% 1228
Värvi muutus 1 tunni pärast Sobimatu
Süsteravim Minocycline hydrochloride 0.2 mg/ml
Süsteravim Hydromorphone hydrochloride 0.2 mg/ml
glükoos 5% 405
Kohene sade Sobimatu
Süsteravim Minocycline hydrochloride
Süsteravim Levofolinate calcium
5058
Ühilduv
Süsteravim Minocycline hydrochloride 0.2 mg/ml
Süsteravim Linezolid 2 mg/ml
mitte ükski 1925
Ühilduv
Süsteravim Minocycline hydrochloride 0.2 mg/ml
Süsteravim Magnesium sulfate 16.67 >> 100 mg/ml
glükoos 5% 1047
Ühilduv
Süsteravim Minocycline hydrochloride 0.2 mg/ml
Süsteravim Melphalan 0.1 mg/ml
naatriumkloriid 0.9% 169
Täpsustamata sobimatus Sobimatu
Süsteravim Minocycline hydrochloride
Süsteravim Mitomycin
4471
Keemiline ebastabiilsus Sobimatu
Süsteravim Minocycline hydrochloride
Süsteravim Mitomycin
3128
Värvi muutus 1 tunni pärast Sobimatu
Süsteravim Minocycline hydrochloride 0.2 mg/ml
Süsteravim Morphine sulfate 1 mg/ml
glükoos 5% 405
Täpsustamata sobimatus Sobimatu
Süsteravim Minocycline hydrochloride
Süsteravim Morphine sulfate
3531
Värvi muutus 4 tunni pärast Sobimatu
Süsteravim Minocycline hydrochloride 0.2 mg/ml
Süsteravim Pemetrexed disodium 20 mg/ml
naatriumkloriid 0.9% 1953
Värvi muutus 1 tunni pärast Sobimatu
Süsteravim Minocycline hydrochloride 0.2 mg/ml
Süsteravim Pethidine hydrochloride 10 mg/ml
glükoos 5% 405
Kohene sade Sobimatu
Süsteravim Minocycline hydrochloride 1 mg/ml
Süsteravim Piperacillin sodium / tazobactam 40/5 mg/ml
glükoos 5% 81
Ühilduv
Süsteravim Minocycline hydrochloride 50 mg/ml
Süsteravim Potassium chloride 40 mEq/l
glükoos 5% 1228
Ühilduv
Süsteravim Minocycline hydrochloride 50 mg/ml
Süsteravim Potassium chloride 40 mEq/l
naatriumkloriid 0.9% 1228
Ühilduv
Süsteravim Minocycline hydrochloride 50 mg/ml
Süsteravim Potassium chloride 40 mEq/l
Ringer laktaat 1228
Ühilduv
Süsteravim Minocycline hydrochloride 0.2 mg/ml
Süsteravim Teniposide 0.1 mg/ml
glükoos 5% 905
Emulsiooni kohene ebastabiilsus Sobimatu
Süsteravim Minocycline hydrochloride 0.2 mg/ml
Parenteraalse toitmise (lipiidide) 1415
Kohene sade Sobimatu
Süsteravim Minocycline hydrochloride 0.2 mg/ml
Süsteravim Propofol 10 mg/ml
mitte ükski 300
Ühilduv
Süsteravim Minocycline hydrochloride 0.2 mg/ml
Süsteravim Remifentanil hydrochloride 25 & 250 µg/ml
naatriumkloriid 0.9% 59
Ühilduv
Süsteravim Minocycline hydrochloride 0,1 mg/ml
Süsteravim Rifampicin 0,1 mg/ml
naatriumkloriid 0.9% 263
Ühilduv
Süsteravim Minocycline hydrochloride 0.2 mg/ml
Süsteravim Sargramostim 10 µg/ml
naatriumkloriid 0.9% 335
Ühilduv
Süsteravim Minocycline hydrochloride 0,4 mg/ml
Süsteravim Sulbactam/durlobactam 15/15 mg/ml
naatriumkloriid 0.9% 4801
Värvi muutus 1 tunni pärast Sobimatu
Süsteravim Minocycline hydrochloride 0.2 mg/ml
Süsteravim Thiotepa 1 mg/ml
glükoos 5% 249
Ühilduv
Süsteravim Minocycline hydrochloride
Ringer laktaat 5058
Ühilduv
Süsteravim Minocycline hydrochloride
glükoos 5% 5058
Ühilduv
Süsteravim Minocycline hydrochloride
naatriumkloriid 0.9% 5058
Ühilduv
Süsteravim Minocycline hydrochloride 0.2 mg/ml
Süsteravim Vinorelbine tartrate 1 mg/ml
naatriumkloriid 0.9% 84
Värvimuutus Sobimatu
Süsteravim Minocycline hydrochloride 0.2 mg/ml
Parenteraalse toitmise (lipiide tasuta) 301

  Mentions Légales