Última actualización :
03/02/2026
Antibiótico   Minocycline hydrochloride  
Inyectables
Solución Oral
Estabilidad en solucion Estabilidad en mezcla Factores que influyen sobre la estabilidad Compatibilidades método de inyección Bibliografía pdf
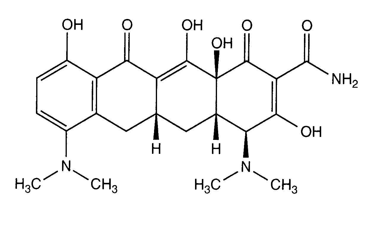
   Estructura química  

Nombre comercial   Nombre comercial     

Los nombres comerciales son orientativos y los excipientes de la formulación pueden ser distintos dependiendo del país y del laboratorio fabricante.

Minocin Estados Unidos de América
Compatibilidades   Inyectables   Compatibilidades : Minocycline hydrochloride              
Esta pantalla muestra las compatibilidades o incompatibilidades, así como el tipo de incompatibilidad (precipitación, cambio de color, modificación de una emulsión, etc). Las compatibilidades que se recogen aquí son fundamentalmente físicas, mostrando raramente la estabilidad química de la molécula. La evaluación de estas mezclas se estudió con el fin de de comprobar la posibilidad de administración en Y al paciente. Estos datos no pueden utilizarse en el caso de la preparación de mezclas dentro de bolsas o jeringas. Este tipo de información está disponible en la pantalla “Estabilidad en mezcla”.
Molécula Solvente Bibliografía
Cambio de color después de 4 horas. Incompatible
Inyectables Minocycline hydrochloride 0.2 mg/ml
Inyectables Allopurinol sodium 3 mg/ml
Cloruro de sodio 0,9% 307
Precipitación inmediata Incompatible
Inyectables Minocycline hydrochloride
Inyectables Calcium chloride
5058
Precipitación inmediata Incompatible
Inyectables Minocycline hydrochloride
Inyectables Calcium glucoheptonate
5058
Incompatibilidad no especificada Incompatible
Inyectables Minocycline hydrochloride
Inyectables Calcium gluconate
3644
Precipitación inmediata Incompatible
Inyectables Minocycline hydrochloride
Inyectables Calcium gluconate
5058
Compatible
Inyectables Minocycline hydrochloride 0.2 mg/ml
Inyectables Cisatracurium besylate 0.1 >> 5 mg/ml
Glucosa 5% 299
Compatible
Inyectables Minocycline hydrochloride 0.2 mg/ml
Inyectables Docetaxel 0.9 mg/ml
Glucosa 5% 1754
Incompatibilidad no especificada Incompatible
Inyectables Minocycline hydrochloride
Inyectables Erythromycin lactobionate
3674
Compatible
Inyectables Minocycline hydrochloride 0.2 mg/ml
Inyectables Etoposide phosphate 5 mg/ml
Glucosa 5% 1410
Compatible
Inyectables Minocycline hydrochloride 0.2 mg/ml
Inyectables Filgrastim 30 µg/ml
Glucosa 5% 244
Precipitación inmediata Incompatible
Inyectables Minocycline hydrochloride 1 mg/ml
Nutrición parenteral (con lípidos) 4440
Cambio de color Incompatible
Inyectables Minocycline hydrochloride 0.2 mg/ml
Inyectables Amifostine 10 mg/ml
Glucosa 5% 3
Compatible
Inyectables Minocycline hydrochloride 0.2 mg/ml
Inyectables Aztreonam 40 mg/ml
Glucosa 5% 99
Compatible
Inyectables Minocycline hydrochloride 0.2 mg/ml
Inyectables Fludarabine phosphate 1 mg/ml
Glucosa 5% 492
Precipitación inmediata Incompatible
Inyectables Minocycline hydrochloride
Inyectables Folinate calcium
5058
Compatible
Inyectables Minocycline hydrochloride 0.2 mg/ml
Inyectables Gemcitabine hydrochloride 10 mg/ml
Cloruro de sodio 0,9% 1423
Compatible
Inyectables Minocycline hydrochloride 0.2 mg/ml
Inyectables Granisetron hydrochloride 0.05 mg/ml
Glucosa 5% 182
Compatible
Inyectables Minocycline hydrochloride 0.2 mg/ml
Inyectables Heparin sodium 1 UI/ml
Ringer lactato 1228
Compatible
Inyectables Minocycline hydrochloride 0.2 mg/ml
Inyectables Heparin sodium 1 UI/ml
Cloruro de sodio 0,9% 1228
Compatible
Inyectables Minocycline hydrochloride 0.2 mg/ml
Inyectables Heparin sodium 1 UI/ml
Glucosa 5% 1228
Compatible
Inyectables Minocycline hydrochloride 50 mg/ml
Inyectables Hydrocortisone sodium succinate 1 mg/ml
Glucosa 5% 1228
Compatible
Inyectables Minocycline hydrochloride 50 mg/ml
Inyectables Hydrocortisone sodium succinate 1 mg/ml
Ringer lactato 1228
Compatible
Inyectables Minocycline hydrochloride 50 mg/ml
Inyectables Hydrocortisone sodium succinate 1 mg/ml
Cloruro de sodio 0,9% 1228
Cambio de color después de 1 hora. Incompatible
Inyectables Minocycline hydrochloride 0.2 mg/ml
Inyectables Hydromorphone hydrochloride 0.2 mg/ml
Glucosa 5% 405
Precipitación inmediata Incompatible
Inyectables Minocycline hydrochloride
Inyectables Levofolinate calcium
5058
Compatible
Inyectables Minocycline hydrochloride 0.2 mg/ml
Inyectables Linezolid 2 mg/ml
Ninguno 1925
Compatible
Inyectables Minocycline hydrochloride 0.2 mg/ml
Inyectables Magnesium sulfate 16.67 >> 100 mg/ml
Glucosa 5% 1047
Compatible
Inyectables Minocycline hydrochloride 0.2 mg/ml
Inyectables Melphalan 0.1 mg/ml
Cloruro de sodio 0,9% 169
Incompatibilidad no especificada Incompatible
Inyectables Minocycline hydrochloride
Inyectables Mitomycin
4471
Inestabilidad química Incompatible
Inyectables Minocycline hydrochloride
Inyectables Mitomycin
3128
Cambio de color después de 1 hora. Incompatible
Inyectables Minocycline hydrochloride 0.2 mg/ml
Inyectables Morphine sulfate 1 mg/ml
Glucosa 5% 405
Incompatibilidad no especificada Incompatible
Inyectables Minocycline hydrochloride
Inyectables Morphine sulfate
3531
Cambio de color después de 4 horas. Incompatible
Inyectables Minocycline hydrochloride 0.2 mg/ml
Inyectables Pemetrexed disodium 20 mg/ml
Cloruro de sodio 0,9% 1953
Cambio de color después de 1 hora. Incompatible
Inyectables Minocycline hydrochloride 0.2 mg/ml
Inyectables Pethidine hydrochloride 10 mg/ml
Glucosa 5% 405
Precipitación inmediata Incompatible
Inyectables Minocycline hydrochloride 1 mg/ml
Inyectables Piperacillin sodium / tazobactam 40/5 mg/ml
Glucosa 5% 81
Compatible
Inyectables Minocycline hydrochloride 50 mg/ml
Inyectables Potassium chloride 40 mEq/l
Glucosa 5% 1228
Compatible
Inyectables Minocycline hydrochloride 50 mg/ml
Inyectables Potassium chloride 40 mEq/l
Cloruro de sodio 0,9% 1228
Compatible
Inyectables Minocycline hydrochloride 50 mg/ml
Inyectables Potassium chloride 40 mEq/l
Ringer lactato 1228
Compatible
Inyectables Minocycline hydrochloride 0.2 mg/ml
Inyectables Teniposide 0.1 mg/ml
Glucosa 5% 905
Inestabilidad inmediata de la emulsión Incompatible
Inyectables Minocycline hydrochloride 0.2 mg/ml
Nutrición parenteral (con lípidos) 1415
Precipitación inmediata Incompatible
Inyectables Minocycline hydrochloride 0.2 mg/ml
Inyectables Propofol 10 mg/ml
Ninguno 300
Compatible
Inyectables Minocycline hydrochloride 0.2 mg/ml
Inyectables Remifentanil hydrochloride 25 & 250 µg/ml
Cloruro de sodio 0,9% 59
Compatible
Inyectables Minocycline hydrochloride 0,1 mg/ml
Inyectables Rifampicin 0,1 mg/ml
Cloruro de sodio 0,9% 263
Compatible
Inyectables Minocycline hydrochloride 0.2 mg/ml
Inyectables Sargramostim 10 µg/ml
Cloruro de sodio 0,9% 335
Compatible
Inyectables Minocycline hydrochloride 0,4 mg/ml
Inyectables Sulbactam/durlobactam 15/15 mg/ml
Cloruro de sodio 0,9% 4801
Cambio de color después de 1 hora. Incompatible
Inyectables Minocycline hydrochloride 0.2 mg/ml
Inyectables Thiotepa 1 mg/ml
Glucosa 5% 249
Compatible
Inyectables Minocycline hydrochloride
Ringer lactato 5058
Compatible
Inyectables Minocycline hydrochloride
Glucosa 5% 5058
Compatible
Inyectables Minocycline hydrochloride
Cloruro de sodio 0,9% 5058
Compatible
Inyectables Minocycline hydrochloride 0.2 mg/ml
Inyectables Vinorelbine tartrate 1 mg/ml
Cloruro de sodio 0,9% 84
Cambio de color Incompatible
Inyectables Minocycline hydrochloride 0.2 mg/ml
Nutrición parenteral (libre de lípidos) 301

  Mentions Légales