Τελευταία ενημέρωση :
18/03/2026
Αντιβιοτικό   Minocycline hydrochloride  
Ενέσιμο
Πόσιμο διάλυμα
Σταθερότητα διαλυμάτων Σταθερότητα σε μίγματα Παράγοντας που επηρεάζει τη σταθερότητα Συμβατότητες Τρόπος χορήγησης Βιβλιογραφία pdf
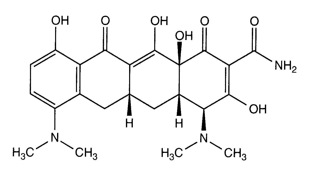
   χημική δομή  

Εμπορική ονομασία   Εμπορική ονομασία     

Οι εμπορικές ονομασίες είναι ενδεικτικές και η σύνθεση των εκδόχων μπορεί να διαφέρει ανάλογα με τη χώρα και τα εργαστήρια

Minocin Η.Π.Α.
Συμβατότητες    Ενέσιμο   Συμβατότητες : Minocycline hydrochloride              
Σε αυτή την οθόνη εμφανίζονται οι συμβατότητες ή ασυμβατότητες. Σε αυτή την περίπτωση εμφανίζονται το είδος της ασυμβατότητας (ίζημα, αλλαγή χρώματος, μεταβολή γαλακτώματος, κλπ). Οι συμβατότητες που παρουσιάζονται εδώ είναι κυρίως φυσικές, ενώ η χημική σταθερότητα κάθε μορίου σπάνια περιλαμβάνεται. Η αξιολόγηση αυτών των μιγμάτων μελετήθηκε προκειμένου να εκτιμηθεί η πιθανότητα χορήγησης στον ασθενή στο Υ κέντρο. Τα δεδομένα αυτά δεν μπορούν να χρησιμοποιηθούν για την εκ των προτέρων δημιουργία μιγμάτων σε ασκούς ή σύριγγες. Αυτό το είδος πληροφορίας υπάρχει και μπορεί να αναζητηθεί στην οθόνη «Σταθερότητα σε μίγμα».
Συστατικό Διαλυτικό Βιβλιογραφία
Αλλαγή χρώματος μετά από 4 ώρες Ασύμβατες
Ενέσιμο Minocycline hydrochloride 0.2 mg/ml
Ενέσιμο Allopurinol sodium 3 mg/ml
Χλωριούχο νάτριο 0,9% 307
Άμεση βροχόπτωση Ασύμβατες
Ενέσιμο Minocycline hydrochloride
Ενέσιμο Calcium chloride
5058
Άμεση βροχόπτωση Ασύμβατες
Ενέσιμο Minocycline hydrochloride
Ενέσιμο Calcium glucoheptonate
5058
Απροσδιόριστη ασυμβατότητα Ασύμβατες
Ενέσιμο Minocycline hydrochloride
Ενέσιμο Calcium gluconate
3644
Άμεση βροχόπτωση Ασύμβατες
Ενέσιμο Minocycline hydrochloride
Ενέσιμο Calcium gluconate
5058
Σύμφωνος
Ενέσιμο Minocycline hydrochloride 0.2 mg/ml
Ενέσιμο Cisatracurium besylate 0.1 >> 5 mg/ml
Γλυκόζη 5% 299
Σύμφωνος
Ενέσιμο Minocycline hydrochloride 0.2 mg/ml
Ενέσιμο Docetaxel 0.9 mg/ml
Γλυκόζη 5% 1754
Απροσδιόριστη ασυμβατότητα Ασύμβατες
Ενέσιμο Minocycline hydrochloride
Ενέσιμο Erythromycin lactobionate
3674
Σύμφωνος
Ενέσιμο Minocycline hydrochloride 0.2 mg/ml
Ενέσιμο Etoposide phosphate 5 mg/ml
Γλυκόζη 5% 1410
Σύμφωνος
Ενέσιμο Minocycline hydrochloride 0.2 mg/ml
Ενέσιμο Filgrastim 30 µg/ml
Γλυκόζη 5% 244
Άμεση βροχόπτωση Ασύμβατες
Ενέσιμο Minocycline hydrochloride 1 mg/ml
Παρεντερική διατροφή (με λιπίδια) 4440
Αλλαγή χρώματος Ασύμβατες
Ενέσιμο Minocycline hydrochloride 0.2 mg/ml
Ενέσιμο Amifostine 10 mg/ml
Γλυκόζη 5% 3
Σύμφωνος
Ενέσιμο Minocycline hydrochloride 0.2 mg/ml
Ενέσιμο Aztreonam 40 mg/ml
Γλυκόζη 5% 99
Σύμφωνος
Ενέσιμο Minocycline hydrochloride 0.2 mg/ml
Ενέσιμο Fludarabine phosphate 1 mg/ml
Γλυκόζη 5% 492
Άμεση βροχόπτωση Ασύμβατες
Ενέσιμο Minocycline hydrochloride
Ενέσιμο Folinate calcium
5058
Σύμφωνος
Ενέσιμο Minocycline hydrochloride 0.2 mg/ml
Ενέσιμο Gemcitabine hydrochloride 10 mg/ml
Χλωριούχο νάτριο 0,9% 1423
Σύμφωνος
Ενέσιμο Minocycline hydrochloride 0.2 mg/ml
Ενέσιμο Granisetron hydrochloride 0.05 mg/ml
Γλυκόζη 5% 182
Σύμφωνος
Ενέσιμο Minocycline hydrochloride 0.2 mg/ml
Ενέσιμο Heparin sodium 1 UI/ml
Γαλακτικό διάλυμα Ringer 1228
Σύμφωνος
Ενέσιμο Minocycline hydrochloride 0.2 mg/ml
Ενέσιμο Heparin sodium 1 UI/ml
Χλωριούχο νάτριο 0,9% 1228
Σύμφωνος
Ενέσιμο Minocycline hydrochloride 0.2 mg/ml
Ενέσιμο Heparin sodium 1 UI/ml
Γλυκόζη 5% 1228
Σύμφωνος
Ενέσιμο Minocycline hydrochloride 50 mg/ml
Ενέσιμο Hydrocortisone sodium succinate 1 mg/ml
Γλυκόζη 5% 1228
Σύμφωνος
Ενέσιμο Minocycline hydrochloride 50 mg/ml
Ενέσιμο Hydrocortisone sodium succinate 1 mg/ml
Γαλακτικό διάλυμα Ringer 1228
Σύμφωνος
Ενέσιμο Minocycline hydrochloride 50 mg/ml
Ενέσιμο Hydrocortisone sodium succinate 1 mg/ml
Χλωριούχο νάτριο 0,9% 1228
Αλλαγή χρώματος μετά από 1 ώρα Ασύμβατες
Ενέσιμο Minocycline hydrochloride 0.2 mg/ml
Ενέσιμο Hydromorphone hydrochloride 0.2 mg/ml
Γλυκόζη 5% 405
Άμεση βροχόπτωση Ασύμβατες
Ενέσιμο Minocycline hydrochloride
Ενέσιμο Levofolinate calcium
5058
Σύμφωνος
Ενέσιμο Minocycline hydrochloride 0.2 mg/ml
Ενέσιμο Linezolid 2 mg/ml
Ουδέν 1925
Σύμφωνος
Ενέσιμο Minocycline hydrochloride 0.2 mg/ml
Ενέσιμο Magnesium sulfate 16.67 >> 100 mg/ml
Γλυκόζη 5% 1047
Σύμφωνος
Ενέσιμο Minocycline hydrochloride 0.2 mg/ml
Ενέσιμο Melphalan 0.1 mg/ml
Χλωριούχο νάτριο 0,9% 169
Απροσδιόριστη ασυμβατότητα Ασύμβατες
Ενέσιμο Minocycline hydrochloride
Ενέσιμο Mitomycin
4471
Χημική αστάθεια Ασύμβατες
Ενέσιμο Minocycline hydrochloride
Ενέσιμο Mitomycin
3128
Αλλαγή χρώματος μετά από 1 ώρα Ασύμβατες
Ενέσιμο Minocycline hydrochloride 0.2 mg/ml
Ενέσιμο Morphine sulfate 1 mg/ml
Γλυκόζη 5% 405
Απροσδιόριστη ασυμβατότητα Ασύμβατες
Ενέσιμο Minocycline hydrochloride
Ενέσιμο Morphine sulfate
3531
Αλλαγή χρώματος μετά από 4 ώρες Ασύμβατες
Ενέσιμο Minocycline hydrochloride 0.2 mg/ml
Ενέσιμο Pemetrexed disodium 20 mg/ml
Χλωριούχο νάτριο 0,9% 1953
Αλλαγή χρώματος μετά από 1 ώρα Ασύμβατες
Ενέσιμο Minocycline hydrochloride 0.2 mg/ml
Ενέσιμο Pethidine hydrochloride 10 mg/ml
Γλυκόζη 5% 405
Άμεση βροχόπτωση Ασύμβατες
Ενέσιμο Minocycline hydrochloride 1 mg/ml
Ενέσιμο Piperacillin sodium / tazobactam 40/5 mg/ml
Γλυκόζη 5% 81
Σύμφωνος
Ενέσιμο Minocycline hydrochloride 50 mg/ml
Ενέσιμο Potassium chloride 40 mEq/l
Γλυκόζη 5% 1228
Σύμφωνος
Ενέσιμο Minocycline hydrochloride 50 mg/ml
Ενέσιμο Potassium chloride 40 mEq/l
Χλωριούχο νάτριο 0,9% 1228
Σύμφωνος
Ενέσιμο Minocycline hydrochloride 50 mg/ml
Ενέσιμο Potassium chloride 40 mEq/l
Γαλακτικό διάλυμα Ringer 1228
Σύμφωνος
Ενέσιμο Minocycline hydrochloride 0.2 mg/ml
Ενέσιμο Teniposide 0.1 mg/ml
Γλυκόζη 5% 905
Άμεση αστάθεια του γαλακτώματος Ασύμβατες
Ενέσιμο Minocycline hydrochloride 0.2 mg/ml
Παρεντερική διατροφή (με λιπίδια) 1415
Άμεση βροχόπτωση Ασύμβατες
Ενέσιμο Minocycline hydrochloride 0.2 mg/ml
Ενέσιμο Propofol 10 mg/ml
Ουδέν 300
Σύμφωνος
Ενέσιμο Minocycline hydrochloride 0.2 mg/ml
Ενέσιμο Remifentanil hydrochloride 25 & 250 µg/ml
Χλωριούχο νάτριο 0,9% 59
Σύμφωνος
Ενέσιμο Minocycline hydrochloride 0,1 mg/ml
Ενέσιμο Rifampicin 0,1 mg/ml
Χλωριούχο νάτριο 0,9% 263
Σύμφωνος
Ενέσιμο Minocycline hydrochloride 0.2 mg/ml
Ενέσιμο Sargramostim 10 µg/ml
Χλωριούχο νάτριο 0,9% 335
Σύμφωνος
Ενέσιμο Minocycline hydrochloride 0,4 mg/ml
Ενέσιμο Sulbactam/durlobactam 15/15 mg/ml
Χλωριούχο νάτριο 0,9% 4801
Αλλαγή χρώματος μετά από 1 ώρα Ασύμβατες
Ενέσιμο Minocycline hydrochloride 0.2 mg/ml
Ενέσιμο Thiotepa 1 mg/ml
Γλυκόζη 5% 249
Σύμφωνος
Ενέσιμο Minocycline hydrochloride
Γαλακτικό διάλυμα Ringer 5058
Σύμφωνος
Ενέσιμο Minocycline hydrochloride
Γλυκόζη 5% 5058
Σύμφωνος
Ενέσιμο Minocycline hydrochloride
Χλωριούχο νάτριο 0,9% 5058
Σύμφωνος
Ενέσιμο Minocycline hydrochloride 0.2 mg/ml
Ενέσιμο Vinorelbine tartrate 1 mg/ml
Χλωριούχο νάτριο 0,9% 84
Αλλαγή χρώματος Ασύμβατες
Ενέσιμο Minocycline hydrochloride 0.2 mg/ml
Παρεντερική  θρέψη (ελεύθερο λιπιδίων) 301

  Mentions Légales