Utolsó frissítés :
18/03/2026
Antibiotikum   Minocycline hydrochloride  
Injekció
belsőleges oldat
Az oldatok stabilitása A keverékek stabilitása Stabilitást befolyásoló tényezők Kompatibilitás Az alkalmazás módja Irodalom pdf
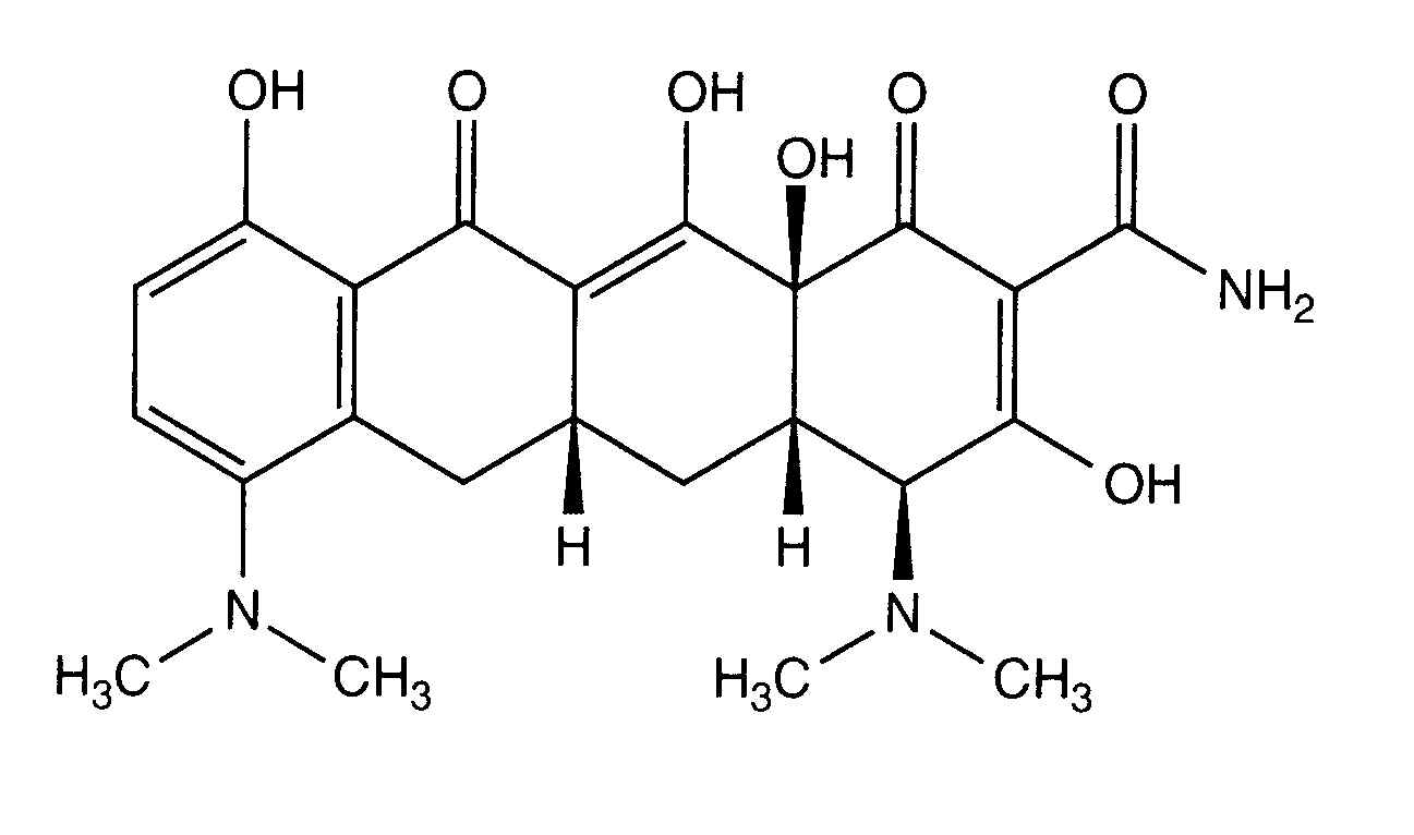
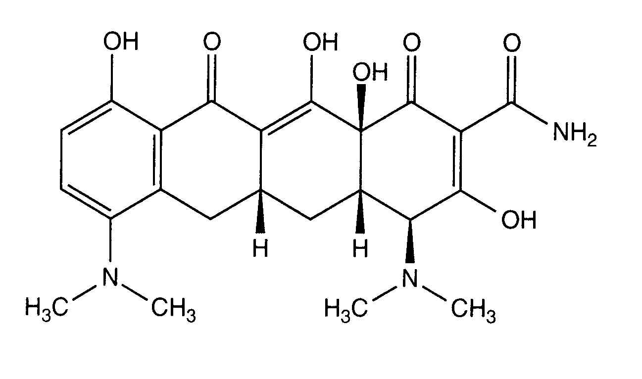
   Kémiai szerkezet   

Kereskedelmi név   Kereskedelmi név     

A kereskedelmi név meghatározó jelentőségű: a készítmények összetétele országonként, előállítóként eltérő lehet

Minocin Amerikai Egyesült Államok
Kompatibilitás   Injekció   Kompatibilitás : Minocycline hydrochloride              
Ovdje su prikazane kompatibilnosti ili nekompatibilnosti s tipom nekompatibilnosti (taloženje, promjena boje, modifikacija emulzije itd.) u ovom slučaju. Kompatibilnosti prikazane ovdje najčešće su fizikalne dok se kemijska stabilnost molekule rijetko procjenjuje. Procjena ovih mikstura je proučavana kako bi se razmotrila mogućnost primjene lijeka putem Y-mjesta. Ovi se podaci ne smiju koristiti za pripremu mikstura unaprijed u vrećicama ili štrcaljkama. Ova vrsta informacije se može pronaći u odjeljku « stabilnost u miksturama ».
Vegyület Oldószer Irodalom
Színváltozás 4 óra után Összeegyeztethetetlen
Injekció Minocycline hydrochloride 0.2 mg/ml
Injekció Allopurinol sodium 3 mg/ml
0,9% nátrium-klorid 307
Azonnali csapadék Összeegyeztethetetlen
Injekció Minocycline hydrochloride
Injekció Calcium chloride
5058
Azonnali csapadék Összeegyeztethetetlen
Injekció Minocycline hydrochloride
Injekció Calcium glucoheptonate
5058
Meghatározatlan összeférhetetlenség Összeegyeztethetetlen
Injekció Minocycline hydrochloride
Injekció Calcium gluconate
3644
Azonnali csapadék Összeegyeztethetetlen
Injekció Minocycline hydrochloride
Injekció Calcium gluconate
5058
Összeegyeztethető
Injekció Minocycline hydrochloride 0.2 mg/ml
Injekció Cisatracurium besylate 0.1 >> 5 mg/ml
5% glükóz 299
Összeegyeztethető
Injekció Minocycline hydrochloride 0.2 mg/ml
Injekció Docetaxel 0.9 mg/ml
5% glükóz 1754
Meghatározatlan összeférhetetlenség Összeegyeztethetetlen
Injekció Minocycline hydrochloride
Injekció Erythromycin lactobionate
3674
Összeegyeztethető
Injekció Minocycline hydrochloride 0.2 mg/ml
Injekció Etoposide phosphate 5 mg/ml
5% glükóz 1410
Összeegyeztethető
Injekció Minocycline hydrochloride 0.2 mg/ml
Injekció Filgrastim 30 µg/ml
5% glükóz 244
Azonnali csapadék Összeegyeztethetetlen
Injekció Minocycline hydrochloride 1 mg/ml
Parenterális táplálás (lipid) 4440
Színváltozás Összeegyeztethetetlen
Injekció Minocycline hydrochloride 0.2 mg/ml
Injekció Amifostine 10 mg/ml
5% glükóz 3
Összeegyeztethető
Injekció Minocycline hydrochloride 0.2 mg/ml
Injekció Aztreonam 40 mg/ml
5% glükóz 99
Összeegyeztethető
Injekció Minocycline hydrochloride 0.2 mg/ml
Injekció Fludarabine phosphate 1 mg/ml
5% glükóz 492
Azonnali csapadék Összeegyeztethetetlen
Injekció Minocycline hydrochloride
Injekció Folinate calcium
5058
Összeegyeztethető
Injekció Minocycline hydrochloride 0.2 mg/ml
Injekció Gemcitabine hydrochloride 10 mg/ml
0,9% nátrium-klorid 1423
Összeegyeztethető
Injekció Minocycline hydrochloride 0.2 mg/ml
Injekció Granisetron hydrochloride 0.05 mg/ml
5% glükóz 182
Összeegyeztethető
Injekció Minocycline hydrochloride 0.2 mg/ml
Injekció Heparin sodium 1 UI/ml
Ringer-laktát oldat 1228
Összeegyeztethető
Injekció Minocycline hydrochloride 0.2 mg/ml
Injekció Heparin sodium 1 UI/ml
0,9% nátrium-klorid 1228
Összeegyeztethető
Injekció Minocycline hydrochloride 0.2 mg/ml
Injekció Heparin sodium 1 UI/ml
5% glükóz 1228
Összeegyeztethető
Injekció Minocycline hydrochloride 50 mg/ml
Injekció Hydrocortisone sodium succinate 1 mg/ml
5% glükóz 1228
Összeegyeztethető
Injekció Minocycline hydrochloride 50 mg/ml
Injekció Hydrocortisone sodium succinate 1 mg/ml
Ringer-laktát oldat 1228
Összeegyeztethető
Injekció Minocycline hydrochloride 50 mg/ml
Injekció Hydrocortisone sodium succinate 1 mg/ml
0,9% nátrium-klorid 1228
Αλλαγή χρώματος μετά από 1 ώρα Összeegyeztethetetlen
Injekció Minocycline hydrochloride 0.2 mg/ml
Injekció Hydromorphone hydrochloride 0.2 mg/ml
5% glükóz 405
Azonnali csapadék Összeegyeztethetetlen
Injekció Minocycline hydrochloride
Injekció Levofolinate calcium
5058
Összeegyeztethető
Injekció Minocycline hydrochloride 0.2 mg/ml
Injekció Linezolid 2 mg/ml
Egy sem 1925
Összeegyeztethető
Injekció Minocycline hydrochloride 0.2 mg/ml
Injekció Magnesium sulfate 16.67 >> 100 mg/ml
5% glükóz 1047
Összeegyeztethető
Injekció Minocycline hydrochloride 0.2 mg/ml
Injekció Melphalan 0.1 mg/ml
0,9% nátrium-klorid 169
Meghatározatlan összeférhetetlenség Összeegyeztethetetlen
Injekció Minocycline hydrochloride
Injekció Mitomycin
4471
Kémiai instabilitás Összeegyeztethetetlen
Injekció Minocycline hydrochloride
Injekció Mitomycin
3128
Αλλαγή χρώματος μετά από 1 ώρα Összeegyeztethetetlen
Injekció Minocycline hydrochloride 0.2 mg/ml
Injekció Morphine sulfate 1 mg/ml
5% glükóz 405
Meghatározatlan összeférhetetlenség Összeegyeztethetetlen
Injekció Minocycline hydrochloride
Injekció Morphine sulfate
3531
Színváltozás 4 óra után Összeegyeztethetetlen
Injekció Minocycline hydrochloride 0.2 mg/ml
Injekció Pemetrexed disodium 20 mg/ml
0,9% nátrium-klorid 1953
Αλλαγή χρώματος μετά από 1 ώρα Összeegyeztethetetlen
Injekció Minocycline hydrochloride 0.2 mg/ml
Injekció Pethidine hydrochloride 10 mg/ml
5% glükóz 405
Azonnali csapadék Összeegyeztethetetlen
Injekció Minocycline hydrochloride 1 mg/ml
Injekció Piperacillin sodium / tazobactam 40/5 mg/ml
5% glükóz 81
Összeegyeztethető
Injekció Minocycline hydrochloride 50 mg/ml
Injekció Potassium chloride 40 mEq/l
5% glükóz 1228
Összeegyeztethető
Injekció Minocycline hydrochloride 50 mg/ml
Injekció Potassium chloride 40 mEq/l
0,9% nátrium-klorid 1228
Összeegyeztethető
Injekció Minocycline hydrochloride 50 mg/ml
Injekció Potassium chloride 40 mEq/l
Ringer-laktát oldat 1228
Összeegyeztethető
Injekció Minocycline hydrochloride 0.2 mg/ml
Injekció Teniposide 0.1 mg/ml
5% glükóz 905
Az emulzió azonnali instabilitása Összeegyeztethetetlen
Injekció Minocycline hydrochloride 0.2 mg/ml
Parenterális táplálás (lipid) 1415
Azonnali csapadék Összeegyeztethetetlen
Injekció Minocycline hydrochloride 0.2 mg/ml
Injekció Propofol 10 mg/ml
Egy sem 300
Összeegyeztethető
Injekció Minocycline hydrochloride 0.2 mg/ml
Injekció Remifentanil hydrochloride 25 & 250 µg/ml
0,9% nátrium-klorid 59
Összeegyeztethető
Injekció Minocycline hydrochloride 0,1 mg/ml
Injekció Rifampicin 0,1 mg/ml
0,9% nátrium-klorid 263
Összeegyeztethető
Injekció Minocycline hydrochloride 0.2 mg/ml
Injekció Sargramostim 10 µg/ml
0,9% nátrium-klorid 335
Összeegyeztethető
Injekció Minocycline hydrochloride 0,4 mg/ml
Injekció Sulbactam/durlobactam 15/15 mg/ml
0,9% nátrium-klorid 4801
Αλλαγή χρώματος μετά από 1 ώρα Összeegyeztethetetlen
Injekció Minocycline hydrochloride 0.2 mg/ml
Injekció Thiotepa 1 mg/ml
5% glükóz 249
Összeegyeztethető
Injekció Minocycline hydrochloride
Ringer-laktát oldat 5058
Összeegyeztethető
Injekció Minocycline hydrochloride
5% glükóz 5058
Összeegyeztethető
Injekció Minocycline hydrochloride
0,9% nátrium-klorid 5058
Összeegyeztethető
Injekció Minocycline hydrochloride 0.2 mg/ml
Injekció Vinorelbine tartrate 1 mg/ml
0,9% nátrium-klorid 84
Színváltozás Összeegyeztethetetlen
Injekció Minocycline hydrochloride 0.2 mg/ml
Parenterális táplálás (lipid-mentes) 301

  Mentions Légales