Zadnji put ažurirano :
18/03/2026
antibiotik   Minocycline hydrochloride  
injekcija
oralna otopina
Stabilizacija rješenja Stabilnost mješavine Stabilizacijski faktor Kompatibilnosti način davanja lijeka Bibliografija pdf
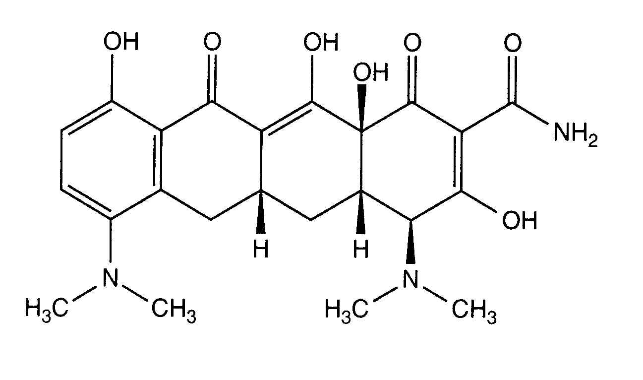
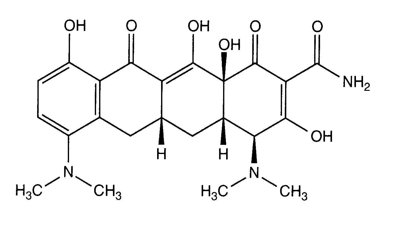
   Kemijska struktura  

Nekomercijalni   Nekomercijalni     

Zaštićeni nazivi su indikativni i sastav ekscipijensa može biti različit ovisno o državi i laboratorijima

Minocin S A D
Kompatibilnosti   injekcija   Kompatibilnosti : Minocycline hydrochloride              
Ovdje su prikazane kompatibilnosti ili nekompatibilnosti s tipom nekompatibilnosti (taloženje, promjena boje, modifikacija emulzije itd.) u ovom slučaju. Kompatibilnosti prikazane ovdje najčešće su fizikalne dok se kemijska stabilnost molekule rijetko procjenjuje. Procjena ovih mikstura je proučavana kako bi se razmotrila mogućnost primjene lijeka putem Y-mjesta. Ovi se podaci ne smiju koristiti za pripremu mikstura unaprijed u vrećicama ili štrcaljkama. Ova vrsta informacije se može pronaći u odjeljku « stabilnost u miksturama ».
molekula sredstvo za rastapanje Bibliografija
Promjena boje je nakon 4 sata inkompatibilan
injekcija Minocycline hydrochloride 0.2 mg/ml
injekcija Allopurinol sodium 3 mg/ml
natrijumkorid 0,9% 307
Neposredne oborine inkompatibilan
injekcija Minocycline hydrochloride
injekcija Calcium chloride
5058
Neposredne oborine inkompatibilan
injekcija Minocycline hydrochloride
injekcija Calcium glucoheptonate
5058
Neodređena nespojivost inkompatibilan
injekcija Minocycline hydrochloride
injekcija Calcium gluconate
3644
Neposredne oborine inkompatibilan
injekcija Minocycline hydrochloride
injekcija Calcium gluconate
5058
Kompatibilan
injekcija Minocycline hydrochloride 0.2 mg/ml
injekcija Cisatracurium besylate 0.1 >> 5 mg/ml
glukoza 5% 299
Kompatibilan
injekcija Minocycline hydrochloride 0.2 mg/ml
injekcija Docetaxel 0.9 mg/ml
glukoza 5% 1754
Neodređena nespojivost inkompatibilan
injekcija Minocycline hydrochloride
injekcija Erythromycin lactobionate
3674
Kompatibilan
injekcija Minocycline hydrochloride 0.2 mg/ml
injekcija Etoposide phosphate 5 mg/ml
glukoza 5% 1410
Kompatibilan
injekcija Minocycline hydrochloride 0.2 mg/ml
injekcija Filgrastim 30 µg/ml
glukoza 5% 244
Neposredne oborine inkompatibilan
injekcija Minocycline hydrochloride 1 mg/ml
Parenteralna prehrana (lipidima) 4440
Promjena boje inkompatibilan
injekcija Minocycline hydrochloride 0.2 mg/ml
injekcija Amifostine 10 mg/ml
glukoza 5% 3
Kompatibilan
injekcija Minocycline hydrochloride 0.2 mg/ml
injekcija Aztreonam 40 mg/ml
glukoza 5% 99
Kompatibilan
injekcija Minocycline hydrochloride 0.2 mg/ml
injekcija Fludarabine phosphate 1 mg/ml
glukoza 5% 492
Neposredne oborine inkompatibilan
injekcija Minocycline hydrochloride
injekcija Folinate calcium
5058
Kompatibilan
injekcija Minocycline hydrochloride 0.2 mg/ml
injekcija Gemcitabine hydrochloride 10 mg/ml
natrijumkorid 0,9% 1423
Kompatibilan
injekcija Minocycline hydrochloride 0.2 mg/ml
injekcija Granisetron hydrochloride 0.05 mg/ml
glukoza 5% 182
Kompatibilan
injekcija Minocycline hydrochloride 0.2 mg/ml
injekcija Heparin sodium 1 UI/ml
Ringer laktat 1228
Kompatibilan
injekcija Minocycline hydrochloride 0.2 mg/ml
injekcija Heparin sodium 1 UI/ml
natrijumkorid 0,9% 1228
Kompatibilan
injekcija Minocycline hydrochloride 0.2 mg/ml
injekcija Heparin sodium 1 UI/ml
glukoza 5% 1228
Kompatibilan
injekcija Minocycline hydrochloride 50 mg/ml
injekcija Hydrocortisone sodium succinate 1 mg/ml
glukoza 5% 1228
Kompatibilan
injekcija Minocycline hydrochloride 50 mg/ml
injekcija Hydrocortisone sodium succinate 1 mg/ml
Ringer laktat 1228
Kompatibilan
injekcija Minocycline hydrochloride 50 mg/ml
injekcija Hydrocortisone sodium succinate 1 mg/ml
natrijumkorid 0,9% 1228
Promjena boje nakon 1 sata inkompatibilan
injekcija Minocycline hydrochloride 0.2 mg/ml
injekcija Hydromorphone hydrochloride 0.2 mg/ml
glukoza 5% 405
Neposredne oborine inkompatibilan
injekcija Minocycline hydrochloride
injekcija Levofolinate calcium
5058
Kompatibilan
injekcija Minocycline hydrochloride 0.2 mg/ml
injekcija Linezolid 2 mg/ml
nijedan 1925
Kompatibilan
injekcija Minocycline hydrochloride 0.2 mg/ml
injekcija Magnesium sulfate 16.67 >> 100 mg/ml
glukoza 5% 1047
Kompatibilan
injekcija Minocycline hydrochloride 0.2 mg/ml
injekcija Melphalan 0.1 mg/ml
natrijumkorid 0,9% 169
Neodređena nespojivost inkompatibilan
injekcija Minocycline hydrochloride
injekcija Mitomycin
4471
Kemijska nestabilnost inkompatibilan
injekcija Minocycline hydrochloride
injekcija Mitomycin
3128
Promjena boje nakon 1 sata inkompatibilan
injekcija Minocycline hydrochloride 0.2 mg/ml
injekcija Morphine sulfate 1 mg/ml
glukoza 5% 405
Neodređena nespojivost inkompatibilan
injekcija Minocycline hydrochloride
injekcija Morphine sulfate
3531
Promjena boje je nakon 4 sata inkompatibilan
injekcija Minocycline hydrochloride 0.2 mg/ml
injekcija Pemetrexed disodium 20 mg/ml
natrijumkorid 0,9% 1953
Promjena boje nakon 1 sata inkompatibilan
injekcija Minocycline hydrochloride 0.2 mg/ml
injekcija Pethidine hydrochloride 10 mg/ml
glukoza 5% 405
Neposredne oborine inkompatibilan
injekcija Minocycline hydrochloride 1 mg/ml
injekcija Piperacillin sodium / tazobactam 40/5 mg/ml
glukoza 5% 81
Kompatibilan
injekcija Minocycline hydrochloride 50 mg/ml
injekcija Potassium chloride 40 mEq/l
glukoza 5% 1228
Kompatibilan
injekcija Minocycline hydrochloride 50 mg/ml
injekcija Potassium chloride 40 mEq/l
natrijumkorid 0,9% 1228
Kompatibilan
injekcija Minocycline hydrochloride 50 mg/ml
injekcija Potassium chloride 40 mEq/l
Ringer laktat 1228
Kompatibilan
injekcija Minocycline hydrochloride 0.2 mg/ml
injekcija Teniposide 0.1 mg/ml
glukoza 5% 905
Neposredna nestabilnost emulzije inkompatibilan
injekcija Minocycline hydrochloride 0.2 mg/ml
Parenteralna prehrana (lipidima) 1415
Neposredne oborine inkompatibilan
injekcija Minocycline hydrochloride 0.2 mg/ml
injekcija Propofol 10 mg/ml
nijedan 300
Kompatibilan
injekcija Minocycline hydrochloride 0.2 mg/ml
injekcija Remifentanil hydrochloride 25 & 250 µg/ml
natrijumkorid 0,9% 59
Kompatibilan
injekcija Minocycline hydrochloride 0,1 mg/ml
injekcija Rifampicin 0,1 mg/ml
natrijumkorid 0,9% 263
Kompatibilan
injekcija Minocycline hydrochloride 0.2 mg/ml
injekcija Sargramostim 10 µg/ml
natrijumkorid 0,9% 335
Kompatibilan
injekcija Minocycline hydrochloride 0,4 mg/ml
injekcija Sulbactam/durlobactam 15/15 mg/ml
natrijumkorid 0,9% 4801
Promjena boje nakon 1 sata inkompatibilan
injekcija Minocycline hydrochloride 0.2 mg/ml
injekcija Thiotepa 1 mg/ml
glukoza 5% 249
Kompatibilan
injekcija Minocycline hydrochloride
Ringer laktat 5058
Kompatibilan
injekcija Minocycline hydrochloride
glukoza 5% 5058
Kompatibilan
injekcija Minocycline hydrochloride
natrijumkorid 0,9% 5058
Kompatibilan
injekcija Minocycline hydrochloride 0.2 mg/ml
injekcija Vinorelbine tartrate 1 mg/ml
natrijumkorid 0,9% 84
Promjena boje inkompatibilan
injekcija Minocycline hydrochloride 0.2 mg/ml
Parenteralna prehrana (bezlipidna) 301

  Mentions Légales