Останнє оновлення :
18/03/2026
Протипаразитарний   Artesunate  
супозиторій
ін'єкція
Стабільність фармацевтичних препаратів Стійкість сумішей Фактори, що впливають на стабільність Сумісність Список літератури pdf
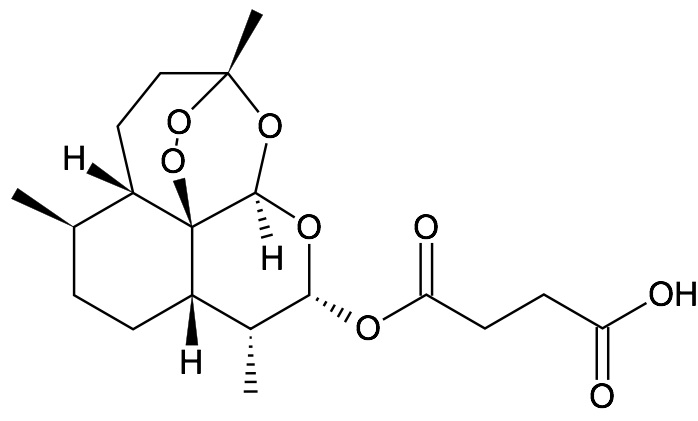
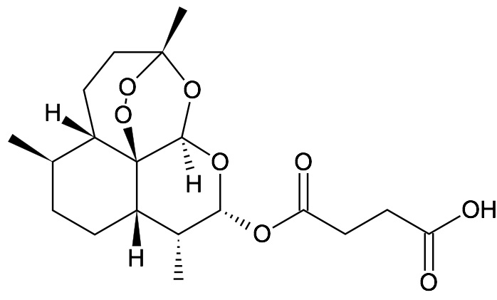
   Хімічна структура  

супозиторій
Стійкість сумішей   супозиторій   Стійкість сумішей : Artesunate     
7 / 5 000 Résultats de traduction Немає даних

  Mentions Légales