Τελευταία ενημέρωση :
18/03/2026
Αντιπαρασιτικό   Artesunate  
Υπόθετο
Ενέσιμο
Σταθερότητα και συμβατότητα των φαρμάκων Σταθερότητα σε μίγματα Παράγοντας που επηρεάζει τη σταθερότητα Συμβατότητες Βιβλιογραφία pdf
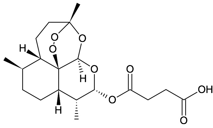
   χημική δομή  

Υπόθετο
Σταθερότητα σε μίγματα   Υπόθετο   Σταθερότητα σε μίγματα : Artesunate     
Δεν υπάρχουν πληροφορίες

  Mentions Légales