آخر تحديث :
18/03/2026
مضاد للطفيليات   Artesunate  
تحميلة
حقن
استقرار المستحضرات الصيدلانية استقرار مخاليط العوامل التي تؤثر على الاستقرار التوافق مراجع pdf
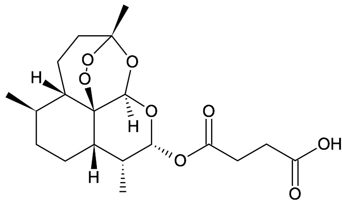
   التركيب الكيميائي  

تحميلة
استقرار مخاليط   تحميلة   استقرار مخاليط : Artesunate     
لا توجد بيانات

  Mentions Légales