Utolsó frissítés :
18/03/2026
Parazitaellenes szer   Artesunate  
kúp
Injekció
Stabilitása gyógyszerészeti készítmények A keverékek stabilitása Stabilitást befolyásoló tényezők Kompatibilitás Irodalom pdf
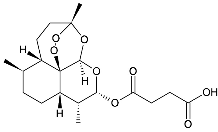
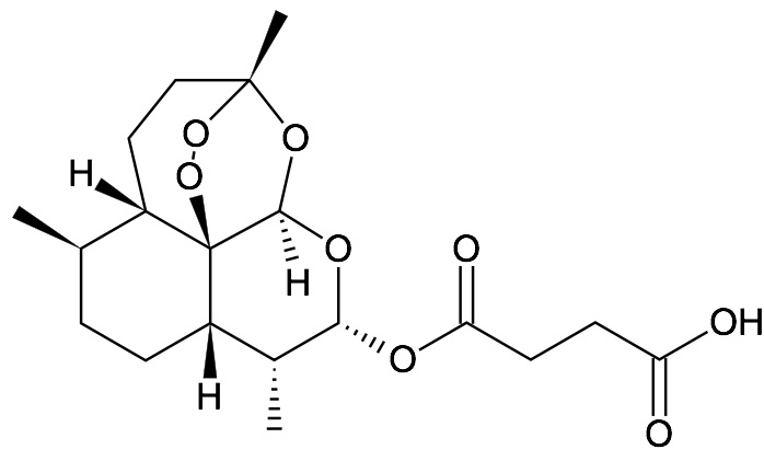
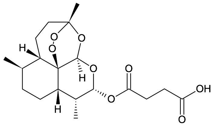
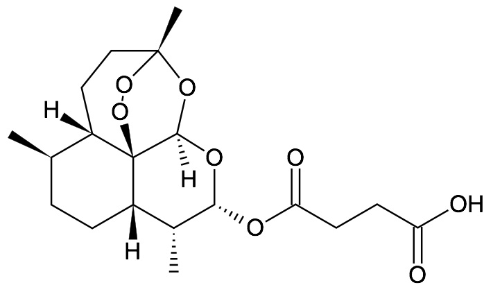
   Kémiai szerkezet   

kúp
A keverékek stabilitása   kúp   A keverékek stabilitása : Artesunate     
Hiányzó adat

  Mentions Légales