Ultimele actualizari :
18/03/2026
Antiparazitar   Artesunate  
Supozitoare
Injectabil
Stabilitatea preparatelor farmaceutice Stabilitatea in amestec Factorii care influenteaza stabilitatea Compatibilitate Bibliografie pdf
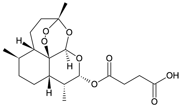
   Formula chimica  

Supozitoare
Stabilitatea in amestec   Supozitoare   Stabilitatea in amestec : Artesunate     
Absenta de date

  Mentions Légales