Cập nhật lần cuối :
18/03/2026
Thuốc điều trị kí sinh trùng   Artesunate  
Thuốc đạn
Dạng tiêm
Tính ổn định của các chế phẩm Độ ổn định khi trộn lẫn Những yếu tố ảnh hưởng đến độ ổn định Khả năng tương thích Tài liệu tham khảo Pdf
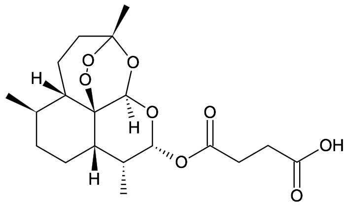
   Cấu trúc hóa học  

Thuốc đạn
Độ ổn định khi trộn lẫn   Thuốc đạn   Độ ổn định khi trộn lẫn : Artesunate     
Không có dữ liệu

  Mentions Légales