Viimeisin päivitys :
18/03/2026
Antiparasiitit   Artesunate  
Peräpuikko
Injektioneste
Vakaus lääkevalmisteen Stabilius seoksissa Tekijät, jotka vaikuttavat stabiliuteen Yhteensopivuus Viitteet pdf
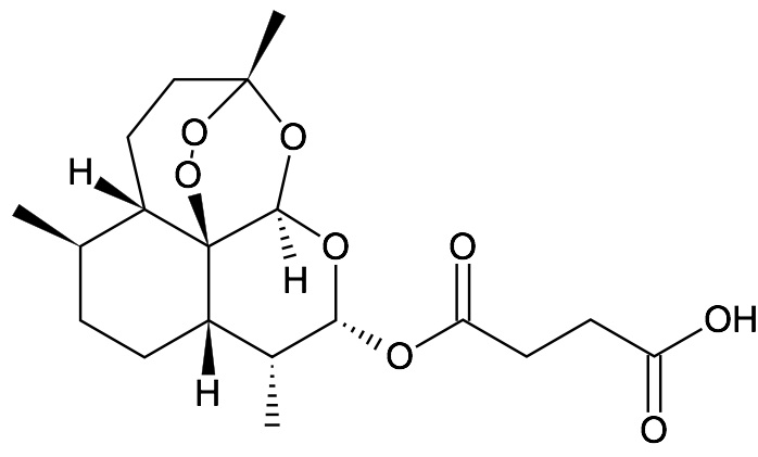
   Kemiallinen rakenne  

Peräpuikko
Stabilius seoksissa   Peräpuikko   Stabilius seoksissa : Artesunate     
ei tietoa

  Mentions Légales