Pēdējā atjaunošana :
18/03/2026
Pretparazītu līdzeklis   Artesunate  
Supozitorijs
Injekcija
Stabilitāte farmaceitisko preparātu Maisījuma stabilitāte Stabilitāti ietekmējoši faktori Saderība Literatūras saraksts pdf
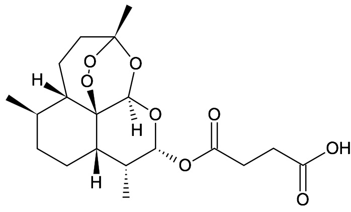
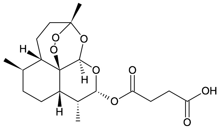
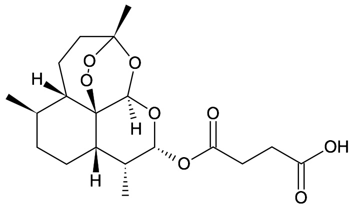
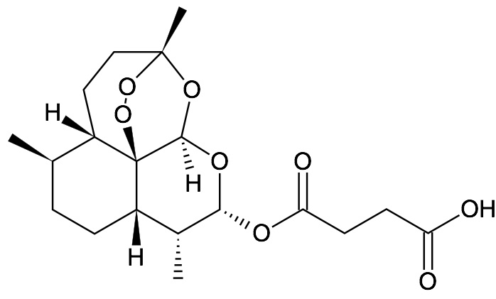
   Ķīmiskā uzbūve   

Supozitorijs
Maisījuma stabilitāte   Supozitorijs   Maisījuma stabilitāte : Artesunate     
Nav datu

  Mentions Légales