Zadnji put ažurirano :
18/03/2026
protuparazitski   Artesunate  
čepić
injekcija
Stabilnost farmaceutskih pripravaka Stabilnost mješavine Stabilizacijski faktor Kompatibilnosti Bibliografija pdf
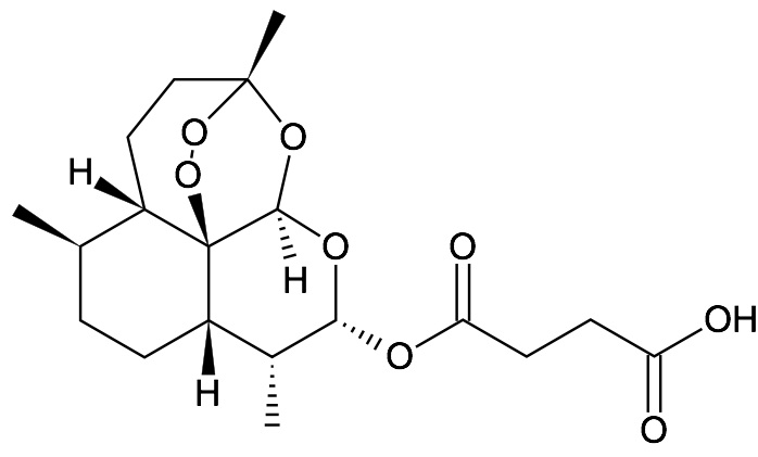
   Kemijska struktura  

čepić
Stabilnost mješavine   čepić   Stabilnost mješavine : Artesunate     
bez podataka

  Mentions Légales