Последнее обновление :
18/03/2026
Противопаразитарное средство   Artesunate  
Суппозиторий (свеча)
Инъекция
Стабильность фармацевтических препаратов Стабильность смесей Факторы, которые влияют на стабильность Совместимость Библиография pdf
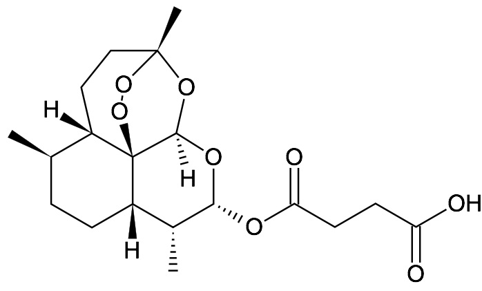
   Химическая структура  

Суппозиторий (свеча)
Стабильность смесей   Суппозиторий (свеча)   Стабильность смесей : Artesunate     
данных нет

  Mentions Légales