Последно актуализиране :
18/03/2026
Противопаразитно средство   Artesunate  
Супозитория
Инжекция/Инжекционен
Стабилност на лекарствени препарати Стабилност на смеси Фактори, повлияващи стабилността Съвместимост Библиография Pdf
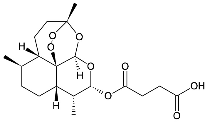
   Химична структура  

Супозитория
Стабилност на смеси   Супозитория   Стабилност на смеси : Artesunate     
Няма данни

  Mentions Légales