fermer
Letztes “update” :
17/12/2025
Infostab
Molekülverzeichnis
Zusammenfassende Listen
Suche nach kompatibilitäten
Y-Kompatibilitätstabelle
Literaturverzeichnis
Forschungsgruppen
valistab
Poster
Links
Sponsoren
Autoren
Hinweise fûr den Benutzer
Newsletter
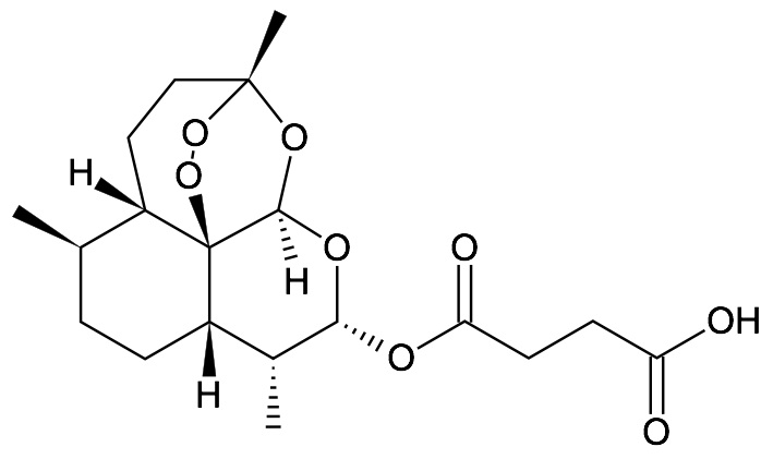
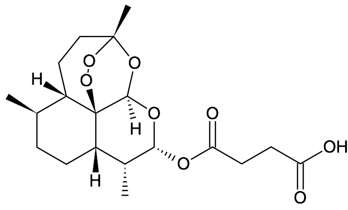
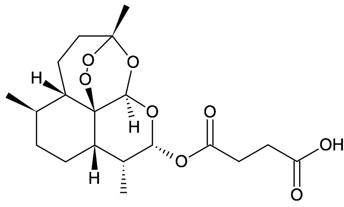
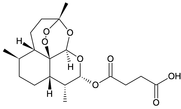
Artesunate
Chemische Struktur
Gemengestabilität : Artesunate
Keine Daten
Mentions Légales