Ultimo aggiornamento :
18/03/2026
Antiparassitario   Artesunate  
supposta
Iniezione
Stabilità dei preparati farmaceutici Stabilità in miscela Fattori che influenzano la stabilità Compatibilità Bibliografia pdf
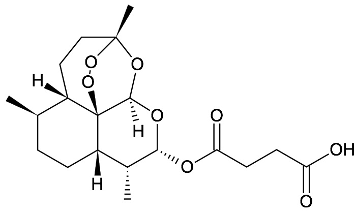
   Struttura chimica  

supposta
Stabilità in miscela   supposta   Stabilità in miscela : Artesunate     
Assenza di dati

  Mentions Légales