Siste oppdatering :
18/03/2026
Antiparasittmiddel   Artesunate  
Stikkpille
Injeksjon
Stabilitet av farmasøytiske preparater Stabilitet i blandinger Faktorer som påvirker stabiliteten Kompatibilitet Referanser pdf
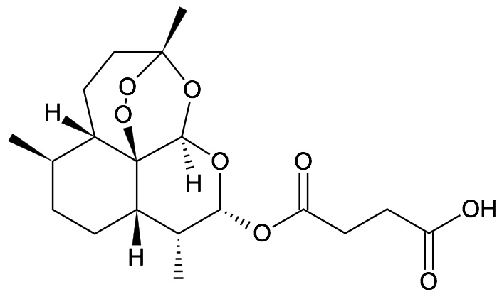
   Kjemisk struktur  

Stikkpille
Stabilitet i blandinger   Stikkpille   Stabilitet i blandinger : Artesunate     
Ingen opplysninger

  Mentions Légales