Senaste uppdateringen :
18/03/2026
Antiparasitärt medel   Artesunate  
Stolpiller
injektion
Stabilitet av läkemedel Stabilitet i blandningar Faktorer som påverkar stabiliteten Kompatibilitet Hänvisningar pdf
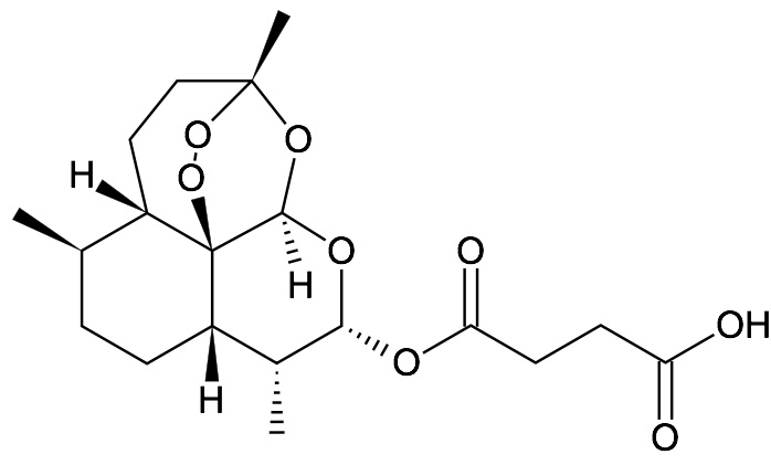
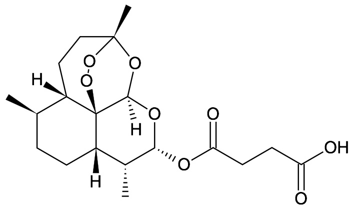
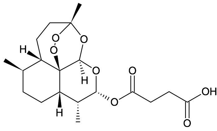
   Molekylstruktur  

Stolpiller
Stabilitet i blandningar   Stolpiller   Stabilitet i blandningar : Artesunate     
Ingen uppgift

  Mentions Légales