最新更新 :
18/03/2026
抗寄生虫药   Artesunate  
肛门塞剂
注射液
制剂的稳定性 混合物稳定性 影响稳定性的因素 兼容性 引用文献 PDF
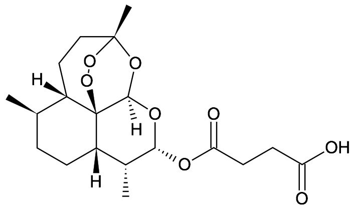
   化学式  

肛门塞剂
混合物稳定性   肛门塞剂   混合物稳定性 : Artesunate     
无数据

  Mentions Légales