zadnja posodobitev :
18/03/2026
Zdravilo proti parazitom   Artesunate  
Svečka
Brizgalka
Stabilnost farmacevtskih preparatov Stabilnost mešanice Faktorji, ki vplivajo na stabilnost Kompatibilnost Viri pdf
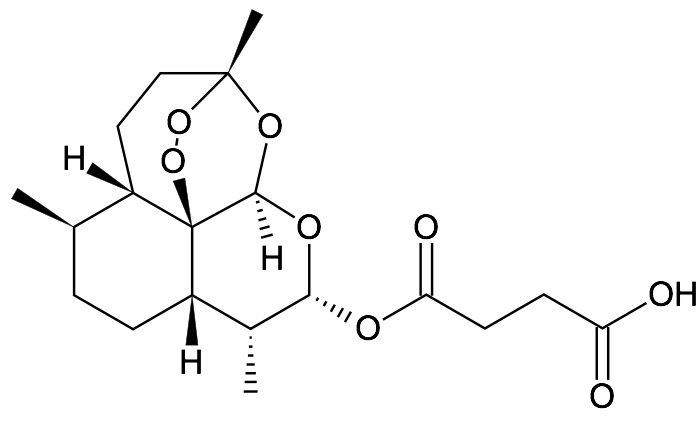
   Kemična formula  

Svečka
Stabilnost mešanice   Svečka   Stabilnost mešanice : Artesunate     
ni podatka

  Mentions Légales