Senaste uppdateringen :
18/03/2026
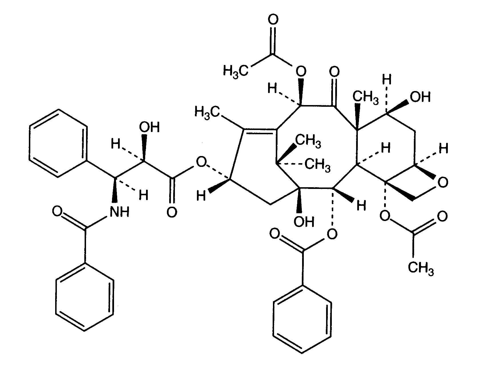
cancerläkemedel   Paclitaxel  
injektion
Lösningars stabilitet Stabilitet i blandningar Faktorer som påverkar stabiliteten Kompatibilitet Administreringssätt Hänvisningar pdf
   Molekylstruktur  

Varunamn   Varunamn     

Angivna handelsnamn på läkemedel är enbart vägledande då formulering inklusive hjälpämnen kan variera mellan länder och tillverkare

Aclipak Malaysia
Acoexcel Mexiko
Acupaxil Marocko
Anzatax Egypten, Förenade Arabemiraten, Iran, Malaysia, Marocko, nya Zeeland, Peru, Saudi-Arabien, Tunisien, Turkiet
Aritaxel Tyskland
Cantaxel Indien
Clitaxel Argentina, Venezuela
Dalys Argentina
Ebetaxel Iran, Marocko, Österrike, Saudi-Arabien, Tunisien, Turkiet
Genexol Egypten, Indien, Iran
Onxol Förenta Staterna
Paclinova Argentina
Paclitaxin Brasilien, Luxemburg, Malaysia, Slovenien
Parexel Brasilien, Colombia, Ecuador, Venezuela
Paxene Danmark, Grekland, Irland, Nederländerna, Polen, Spanien
Poltaxel Polen
Ribotax Tyskland
Taxol Brasilien, Colombia, Danmark, Egypten, Förenade Arabemiraten, Grekland, Iran, Italien, Japan, Malaysia, Marocko, Nederländerna, nya Zeeland, Österrike, Peru, Polen, Portugal, Schweiz, Slovenien, Sverige, Turkiet, Venezuela
Taxomedac Tyskland
Vitax Brasilien, Peru, Turkiet
Kompatibilitet   injektion   Kompatibilitet : Paclitaxel              
Den här skärmen visar kompatibiliteten eller inkompatibiliteten med, i detta fall, typen av inkompatibilitet (utfällning, färgförändring, modifiering av en emulsion, etc.). De kompatibiliteter som visas här är oftast endast fysiska, varvid den kemiska stabiliteten för varje molekyl sällan utvärderas. Utvärderingen av dessa blandningar studerades för att överväga möjligheten för Y-platsadministrering till patienten. Dessa data kan inte användas för att göra blandningar i förväg i påsar eller sprutor. Denna typ av information finns på skärmen "Stabilitet i blandning".
Substans Lösningsmedel Hänvisningar
Kompatibel
injektion Paclitaxel 1.2 mg/ml
injektion Aciclovir sodium 7 mg/ml
Glukos 5 % 248
Kompatibel
injektion Paclitaxel 1.2 mg/ml
injektion Amikacin sulfate 5 mg/ml
Glukos 5 % 248
Kompatibel
injektion Paclitaxel 1.2 mg/ml
injektion Aminophylline 2.5 mg/ml
Glukos 5 % 248
Omedelbar grumlighet Oförenlig
injektion Paclitaxel 1.2 mg/ml
injektion Amphotericin B 0.6 mg/ml
Glukos 5 % 248
Förlust av grumlighet Oförenlig
injektion Paclitaxel 0.6 mg/ml
injektion Amphotericin B cholesteryl sulfate complex 0.83 mg/ml
Glukos 5 % 921
Kompatibel
injektion Paclitaxel 1.2 mg/ml
injektion Ampicillin sodium - sulbactam sodium 20/10 mg/ml
Glukos 5 % 248
Kompatibel
injektion Paclitaxel 0.6 mg/ml
injektion Anidulafungin 0.5 mg/ml
Glukos 5 % 1982
Kompatibel
injektion Paclitaxel 1.2 mg/ml
injektion Bleomycin sulfate 1 mg/ml
Glukos 5 % 248
Kompatibel
injektion Paclitaxel 1.2 mg/ml
injektion Butorphanol tartrate 0.04 mg/ml
Glukos 5 % 248
Kompatibel
injektion Paclitaxel 1.2 mg/ml
injektion Calcium chloride 20 mg/ml
Glukos 5 % 248
Kompatibel
injektion Paclitaxel 1.2 mg/ml
injektion Carboplatin 5 mg/ml
Glukos 5 % 85
Kompatibel
injektion Paclitaxel 0,3 & 1,2 mg/ml
injektion Carboplatin 2 mg/ml
Natriumklorid 0,9 % 872
Kompatibel
injektion Paclitaxel 0,3 & 1,2 mg/ml
injektion Carboplatin 2 mg/ml
Glukos 5 % 872
Kompatibel
injektion Paclitaxel 1.2 mg/ml
injektion Ceforanide 20 mg/ml
Glukos 5 % 248
Kompatibel
injektion Paclitaxel 1.2 mg/ml
injektion Ceftazidime 40 mg/ml
Glukos 5 % 248
Kompatibel
injektion Paclitaxel 1.2 mg/ml
injektion Ceftriaxone disodium 20 mg/ml
Glukos 5 % 248
Förlust av grumlighet Oförenlig
injektion Paclitaxel 1.2 mg/ml
injektion Chlorpromazine hydrochloride 2 mg/ml
Glukos 5 % 248
Kompatibel
injektion Paclitaxel
Glukos 5 % 1956
Kompatibel
injektion Paclitaxel 0,3 & 1,2 mg/ml
injektion Cisplatin 0,2 mg/ml
Natriumklorid 0,9 % 872
Kompatibel
injektion Paclitaxel 1.2 mg/ml
Parenteral nutrition (med lipider) 1415
Kompatibel
injektion Paclitaxel 1.2 mg/ml
Parenteral nutrition (binär blandning) 301
Kompatibel
injektion Paclitaxel 1.2 mg/ml
injektion Cimetidine hydrochloride 12 mg/ml
Glukos 5 % 85
Kompatibel
injektion Paclitaxel 1.2 mg/ml
injektion Cisplatin 1 mg/ml
Glukos 5 % 85
Kemisk instabilitet Oförenlig
injektion Paclitaxel
injektion Cisplatin
3578
Kompatibel
injektion Paclitaxel 0.6 mg/ml
injektion Cladribine 0.5 mg/ml
NaCl 0,9 % + bakteriostatisk substans 1496
Kompatibel
injektion Paclitaxel 0.6 mg/ml
injektion Cladribine 0.015 mg/ml
Natriumklorid 0,9 % 1496
Kompatibel
injektion Paclitaxel 1.2 mg/ml
injektion Cyclophosphamide 10 mg/ml
Glukos 5 % 85
Kompatibel
injektion Paclitaxel 1.2 mg/ml
injektion Cytarabine 50 mg/ml
Glukos 5 % 85
Kompatibel
injektion Paclitaxel 1.2 mg/ml
injektion Dacarbazine 4 mg/ml
Glukos 5 % 248
Kompatibel
injektion Paclitaxel 1.2 mg/ml
injektion Dexamethasone sodium phosphate 1 mg/ml
Glukos 5 % 85
Kompatibel
injektion Paclitaxel 1.2 mg/ml
injektion Diphenhydramine hydrochloride 2 mg/ml
Glukos 5 % 85
Kompatibel
injektion Paclitaxel 0,6 mg/ml
injektion Doripenem 5 mg/ml
Natriumklorid 0,9 % 2262
Kompatibel
injektion Paclitaxel 0,6 mg/ml
injektion Doripenem 5 mg/ml
Glukos 5 % 2262
Kompatibel
injektion Paclitaxel 0,3 & 1,2 mg/ml
injektion Doxorubicin hydrochloride 0,2 mg/ml
Glukos 5 % 1286
Kompatibel
injektion Paclitaxel 1.2 mg/ml
injektion Doxorubicin hydrochloride 2 mg/ml
Glukos 5 % 85
Kompatibel
injektion Paclitaxel 0,3 & 1,2 mg/ml
injektion Doxorubicin hydrochloride 0,2 mg/ml
Natriumklorid 0,9 % 1286
Förlust av grumlighet Oförenlig
injektion Paclitaxel 0.6 mg/ml
injektion Doxorubicin hydrochloride liposome peg 0.4 mg/ml
Glukos 5 % 251
Kompatibel
injektion Paclitaxel
Natriumklorid 0,9 % 1956
Kompatibel
injektion Paclitaxel 1.2 mg/ml
injektion Droperidol 0.4 mg/ml
Glukos 5 % 248
Kompatibel
injektion Paclitaxel 1.2 mg/ml
injektion Etoposide 0.4 mg/ml
Glukos 5 % 85
Kompatibel
injektion Paclitaxel 1.2 mg/ml
injektion Etoposide phosphate 5 mg/ml
Glukos 5 % 1410
Kompatibel
injektion Paclitaxel 1.2 mg/ml
injektion Famotidine 2 mg/ml
Glukos 5 % 248
Kompatibel
injektion Paclitaxel 1.2 mg/ml
injektion Floxuridine 3 mg/ml
Glukos 5 % 248
Kompatibel
injektion Paclitaxel 0,3 & 1,2 mg/ml
injektion Fluconazole 2 mg/ml
Glukos 5 % 151
Kompatibel
injektion Paclitaxel 1.2 mg/ml
injektion Fluconazole 2 mg/ml
Glukos 5 % 248
Kompatibel
injektion Paclitaxel 1.2 mg/ml
injektion Fluorouracil 16 mg/ml
Glukos 5 % 85
Kompatibel
injektion Paclitaxel 1.2 mg/ml
injektion Furosemide 3 mg/ml
Glukos 5 % 248
Kompatibel
injektion Paclitaxel 1.2 mg/ml
injektion Ganciclovir sodium 20 mg/ml
Glukos 5 % 248
Kompatibel
injektion Paclitaxel 1.2 mg/ml
injektion Gemcitabine hydrochloride 10 mg/ml
Natriumklorid 0,9 % 1423
Kompatibel
injektion Paclitaxel 1.2 mg/ml
injektion Gentamicin sulfate 5 mg/ml
Glukos 5 % 248
Kompatibel
injektion Paclitaxel 1.2 mg/ml
injektion Granisetron hydrochloride 0.05 mg/ml
Glukos 5 % 182
Kompatibel
injektion Paclitaxel 0.29 mg/ml
injektion Granisetron hydrochloride 1 mg/ml
Natriumklorid 0,9 % 57
Kompatibel
injektion Paclitaxel 1.2 mg/ml
injektion Haloperidol lactate 0.2 mg/ml
Glukos 5 % 85
Kompatibel
injektion Paclitaxel 1.2 mg/ml
injektion Heparin sodium 100 UI/ml
Glukos 5 % 248
Kompatibel
injektion Paclitaxel 1.2 mg/ml
injektion Hydrocortisone sodium succinate 1 mg/ml
Glukos 5 % 248
Kompatibel
injektion Paclitaxel 1.2 mg/ml
injektion Hydromorphone hydrochloride 0.5 mg/ml
Glukos 5 % 248
Förlust av grumlighet Oförenlig
injektion Paclitaxel 1.2 mg/ml
injektion Hydroxyzine dihydrochloride 4 mg/ml
Glukos 5 % 248
Kompatibel
injektion Paclitaxel 1.2 mg/ml
injektion Ifosfamide 25 mg/ml
Glukos 5 % 248
Kompatibel
injektion Paclitaxel 0.6 mg/ml
injektion Lansoprazole 0.55 mg/ml
Natriumklorid 0,9 % 1625
Kompatibel
injektion Paclitaxel 0.6 mg/ml
injektion Linezolid 2 mg/ml
Ingen 1925
Kompatibel
injektion Paclitaxel 1.2 mg/ml
injektion Lorazepam 0.1 mg/ml
Glukos 5 % 85
Kompatibel
injektion Paclitaxel 1.2 mg/ml
injektion Magnesium sulfate 100 mg/ml
Glukos 5 % 248
Kompatibel
injektion Paclitaxel 1.2 mg/ml
injektion Mannitol 150 mg/ml
Glukos 5 % 248
Kompatibel
injektion Paclitaxel 1.2 mg/ml
injektion Mesna 10 mg/ml
Glukos 5 % 248
Kompatibel
injektion Paclitaxel 1.2 mg/ml
injektion Methotrexate sodium 15 mg/ml
Glukos 5 % 85
Förlust av grumlighet Oförenlig
injektion Paclitaxel 1.2 mg/ml
injektion Methylprednisolone sodium succinate 5 mg/ml
Glukos 5 % 248
Kompatibel
injektion Paclitaxel 1.2 mg/ml
injektion Metoclopramide hydrochloride 5 mg/ml
Glukos 5 % 85
Förlust av grumlighet Oförenlig
injektion Paclitaxel 1.2 mg/ml
injektion Mitoxantrone dihydrochloride 0.5 mg/ml
Glukos 5 % 248
Kompatibel
injektion Paclitaxel 1.2 mg/ml
injektion Morphine sulfate 1 mg/ml
Glukos 5 % 248
Kompatibel
injektion Paclitaxel 1.2 mg/ml
injektion Nalbuphine hydrochloride 10 mg/ml
Glukos 5 % 248
Kompatibel
injektion Paclitaxel 0.3 & 1.2 mg/ml
injektion Ondansetron hydrochloride 0.03 & 0.3 mg/ml
Glukos 5 % 47
Kompatibel
injektion Paclitaxel 1.2 mg/ml
injektion Ondansetron hydrochloride 0.5 mg/ml
Glukos 5 % 248
Kompatibel
injektion Paclitaxel 0,6 mg/ml
injektion Oxaliplatin 0,5 mg/ml
Glukos 5 % 1662
Kompatibel
injektion Paclitaxel 1,2 mg/ml
injektion Palonosetron hydrochloride 50 µg/ml
Glukos 5 % 1940
Kompatibel
injektion Paclitaxel 0.6 mg/ml
injektion Pemetrexed disodium 20 mg/ml
Natriumklorid 0,9 % 1953
Kompatibel
injektion Paclitaxel 1.2 mg/ml
injektion Pentostatin 0.4 mg/ml
Glukos 5 % 248
Kompatibel
injektion Paclitaxel 1.2 mg/ml
injektion Pethidine hydrochloride 4 mg/ml
Glukos 5 % 248
Kompatibel
injektion Paclitaxel 1.2 mg/ml
injektion Potassium chloride 100 mEq/l
Glukos 5 % 248
Kompatibel
injektion Paclitaxel 1.2 mg/ml
injektion Prochlorperazine edysilate 0.5 mg/ml
Glukos 5 % 85
Kompatibel
injektion Paclitaxel 1.2 mg/ml
injektion Propofol 10 mg/ml
Ingen 300
Kompatibel
injektion Paclitaxel 0.3 & 1.2 mg/ml
injektion Ranitidine hydrochloride 0.5 & 2 mg/ml
Glukos 5 % 47
Kompatibel
injektion Paclitaxel 1.2 mg/ml
injektion Ranitidine hydrochloride 2 mg/ml
Glukos 5 % 85
Kompatibel
injektion Paclitaxel 1.2 mg/ml
injektion Sodium bicarbonate 84 mg/ml
Glukos 5 % 248
Kompatibel
injektion Paclitaxel 0.6 mg/ml
injektion Thiotepa 1 mg/ml
Glukos 5 % 249
Kompatibel
injektion Paclitaxel 0.54 mg/ml
injektion Topotecan 0.056 mg/ml
Natriumklorid 0,9 % 1026
Kompatibel
injektion Paclitaxel 0.54 mg/ml
injektion Topotecan 0.056 mg/ml
Glukos 5 % 1026
Kompatibel
injektion Paclitaxel 1.2 mg/ml
injektion Vancomycin hydrochloride 10 mg/ml
Glukos 5 % 85
Kompatibel
injektion Paclitaxel 1.2 mg/ml
injektion Vinblastine sulfate 0.12 mg/ml
Glukos 5 % 248
Kompatibel
injektion Paclitaxel 1.2 mg/ml
injektion Vincristine sulfate 0.05 mg/ml
Glukos 5 % 248
Kompatibel
injektion Paclitaxel 1.2 mg/ml
injektion Zidovudine 4 mg/ml
Glukos 5 % 248

  Mentions Légales