Ultimo aggiornamento :
18/03/2026
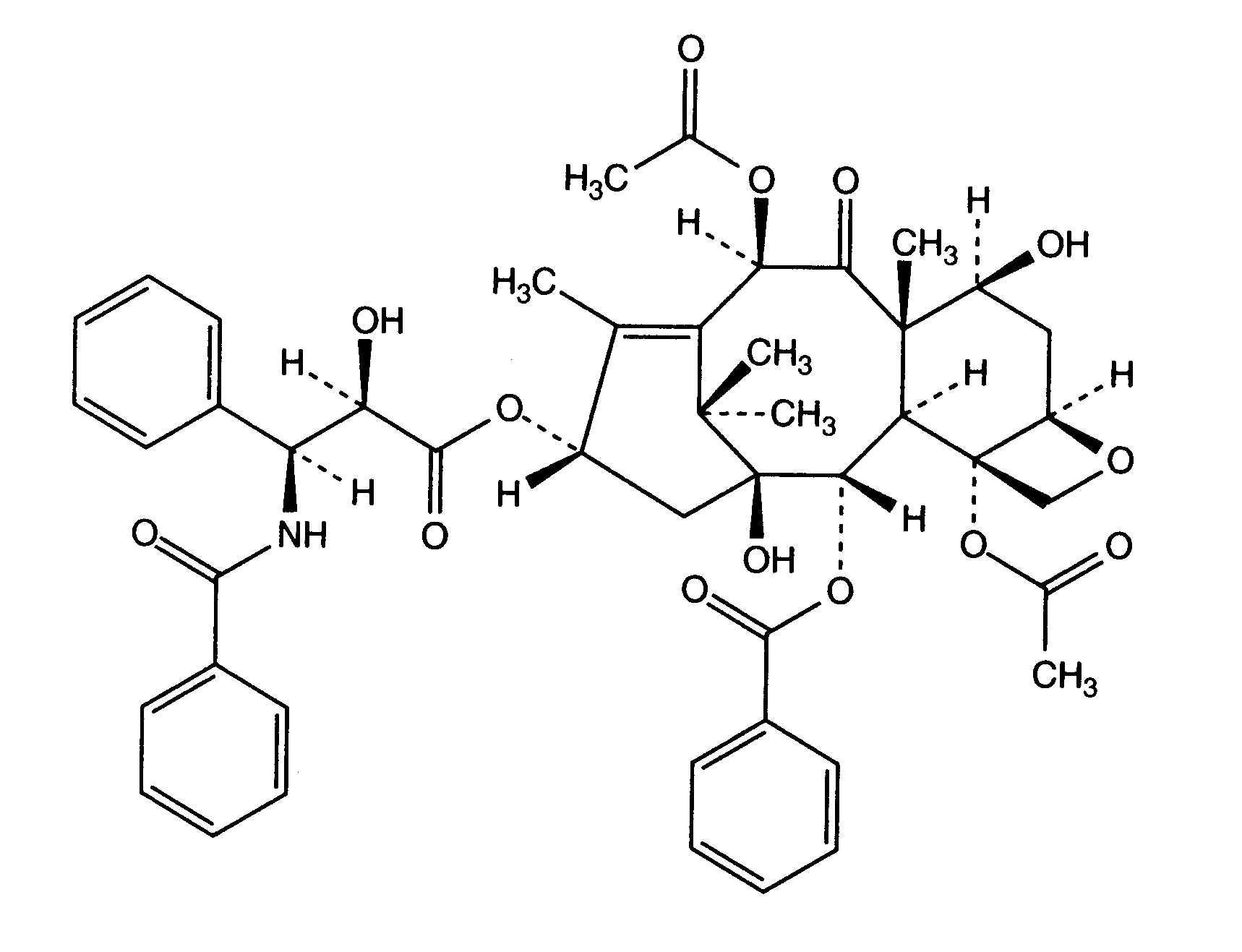
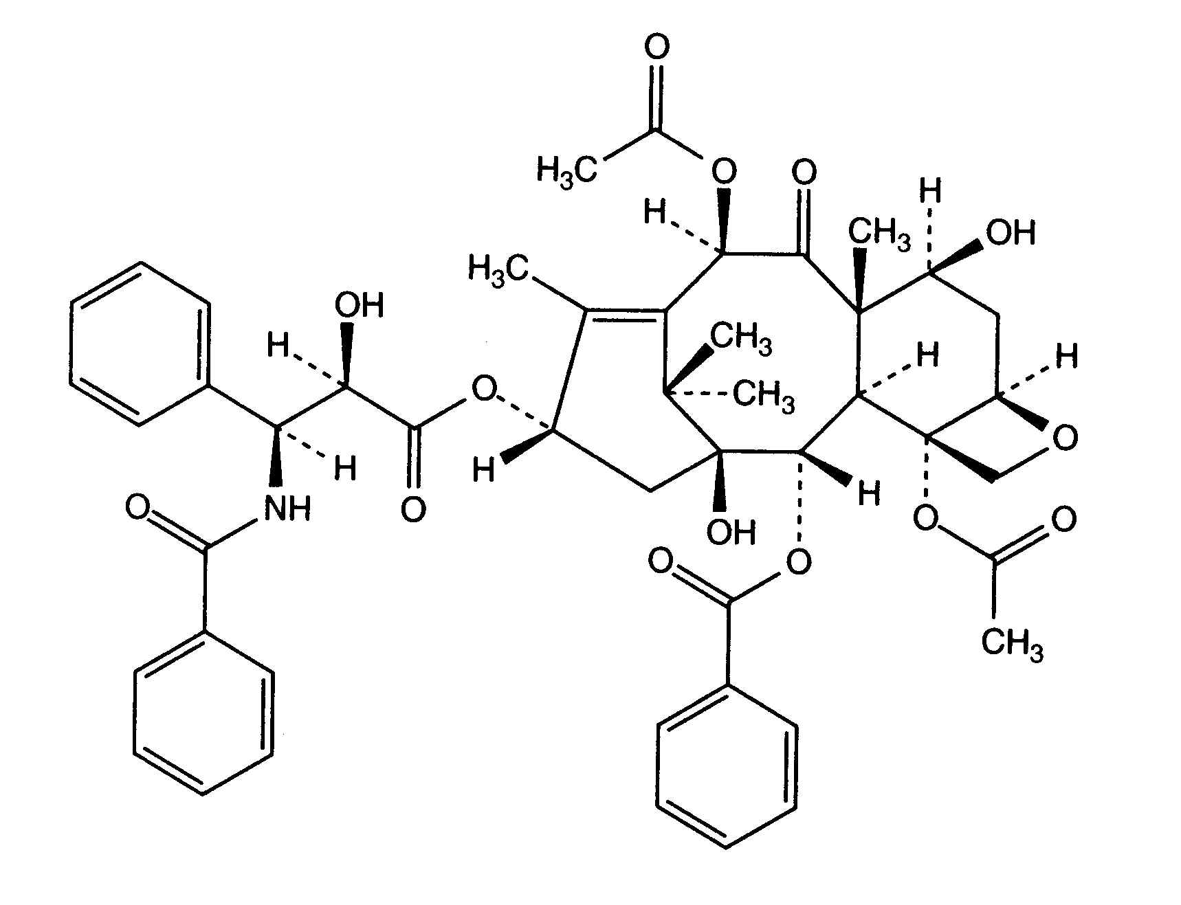
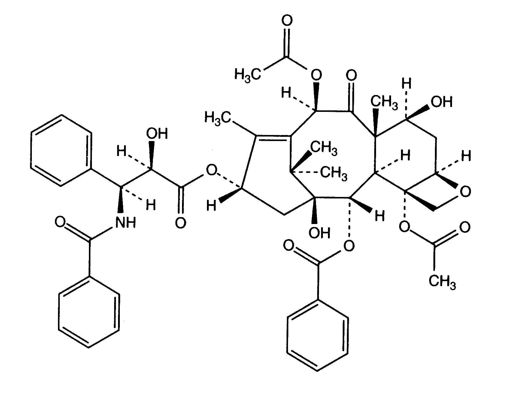
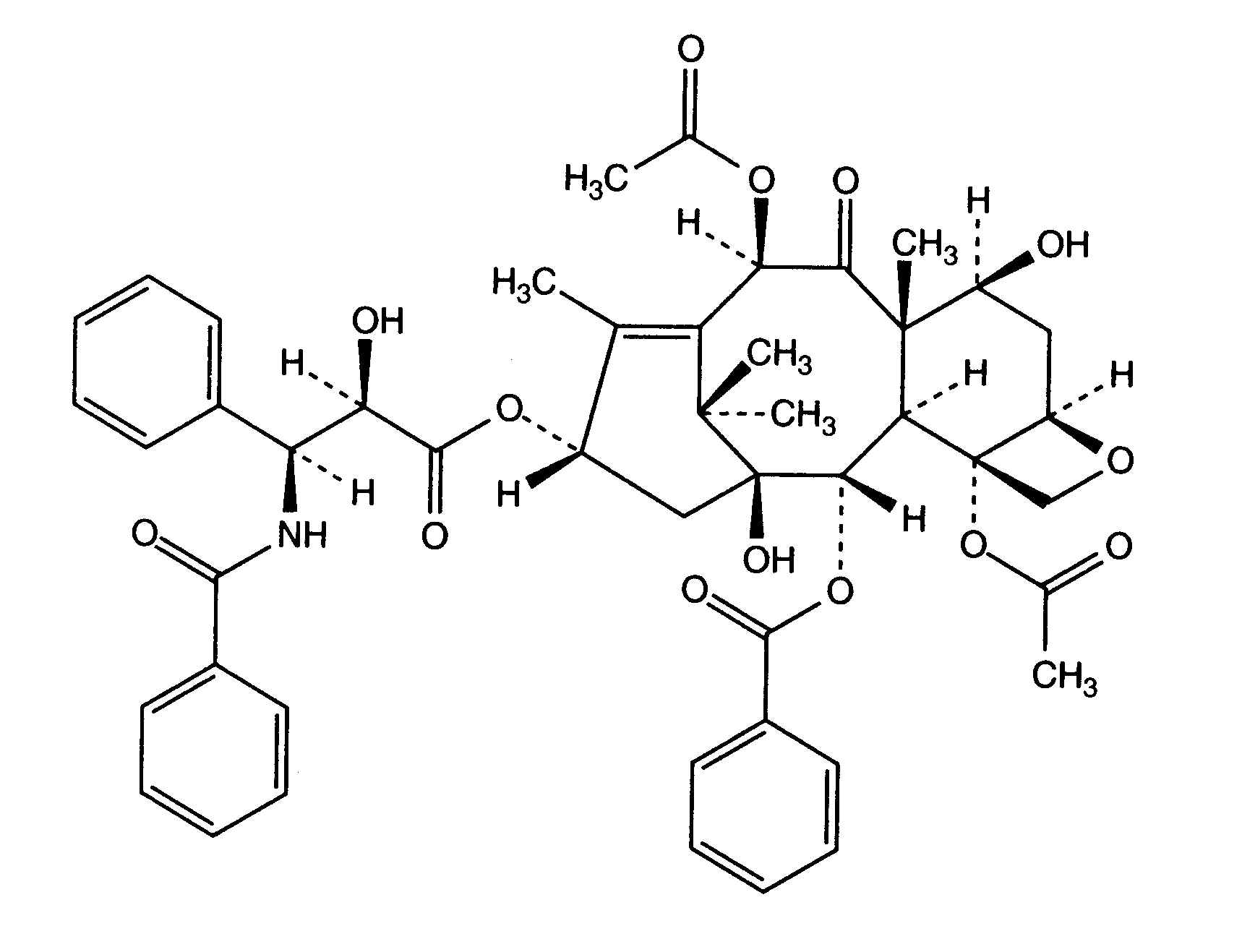
farmaco contro il cancro   Paclitaxel  
Iniezione
Stabilità in soluzione Stabilità in miscela Fattori che influenzano la stabilità Compatibilità metodo di iniezione Bibliografia pdf
   Struttura chimica  

Nome commerciale   Nome commerciale     

Trade names are indicative and excipients composition can be different depending on the country and manufacturers

Aclipak Malaysia
Acoexcel Messico
Acupaxil Marocco
Anzatax Arabia Saudita, Egitto, Emirati Arabi Uniti, Iran, Malaysia, Marocco, nuova Zelanda, Perù, Tunisia, Turchia
Aritaxel Germania
Cantaxel India
Clitaxel Argentina, Venezuela
Dalys Argentina
Ebetaxel Arabia Saudita, Austria, Iran, Marocco, Tunisia, Turchia
Genexol Egitto, India, Iran
Onxol Stati Uniti d’America
Paclinova Argentina
Paclitaxin Brasile, Lussemburgo, Malaysia, Slovenia
Parexel Brasile, Colombia, Ecuador, Venezuela
Paxene Danimarca, Grecia, Irlanda, Paesi Bassi, Polonia, Spagna
Poltaxel Polonia
Ribotax Germania
Taxol Austria, Brasile, Colombia, Danimarca, Egitto, Emirati Arabi Uniti, Giappone, Grecia, Iran, Italia, Malaysia, Marocco, nuova Zelanda, Paesi Bassi, Perù, Polonia, Portogallo, Slovenia, Svezia, Svizzera, Turchia, Venezuela
Taxomedac Germania
Vitax Brasile, Perù, Turchia
Compatibilità   Iniezione   Compatibilità : Paclitaxel              
explication_incompatibilite_molecules
Molecola Solvente Bibliografia
Compatibile
Iniezione Paclitaxel 1.2 mg/ml
Iniezione Aciclovir sodium 7 mg/ml
Glucosio 5% 248
Compatibile
Iniezione Paclitaxel 1.2 mg/ml
Iniezione Amikacin sulfate 5 mg/ml
Glucosio 5% 248
Compatibile
Iniezione Paclitaxel 1.2 mg/ml
Iniezione Aminophylline 2.5 mg/ml
Glucosio 5% 248
Torbidità immediata Incompatibile
Iniezione Paclitaxel 1.2 mg/ml
Iniezione Amphotericin B 0.6 mg/ml
Glucosio 5% 248
Perdita di torbidità Incompatibile
Iniezione Paclitaxel 0.6 mg/ml
Iniezione Amphotericin B cholesteryl sulfate complex 0.83 mg/ml
Glucosio 5% 921
Compatibile
Iniezione Paclitaxel 1.2 mg/ml
Iniezione Ampicillin sodium - sulbactam sodium 20/10 mg/ml
Glucosio 5% 248
Compatibile
Iniezione Paclitaxel 0.6 mg/ml
Iniezione Anidulafungin 0.5 mg/ml
Glucosio 5% 1982
Compatibile
Iniezione Paclitaxel 1.2 mg/ml
Iniezione Bleomycin sulfate 1 mg/ml
Glucosio 5% 248
Compatibile
Iniezione Paclitaxel 1.2 mg/ml
Iniezione Butorphanol tartrate 0.04 mg/ml
Glucosio 5% 248
Compatibile
Iniezione Paclitaxel 1.2 mg/ml
Iniezione Calcium chloride 20 mg/ml
Glucosio 5% 248
Compatibile
Iniezione Paclitaxel 1.2 mg/ml
Iniezione Carboplatin 5 mg/ml
Glucosio 5% 85
Compatibile
Iniezione Paclitaxel 0,3 & 1,2 mg/ml
Iniezione Carboplatin 2 mg/ml
Cloruro di sodio 0,9% 872
Compatibile
Iniezione Paclitaxel 0,3 & 1,2 mg/ml
Iniezione Carboplatin 2 mg/ml
Glucosio 5% 872
Compatibile
Iniezione Paclitaxel 1.2 mg/ml
Iniezione Ceforanide 20 mg/ml
Glucosio 5% 248
Compatibile
Iniezione Paclitaxel 1.2 mg/ml
Iniezione Ceftazidime 40 mg/ml
Glucosio 5% 248
Compatibile
Iniezione Paclitaxel 1.2 mg/ml
Iniezione Ceftriaxone disodium 20 mg/ml
Glucosio 5% 248
Perdita di torbidità Incompatibile
Iniezione Paclitaxel 1.2 mg/ml
Iniezione Chlorpromazine hydrochloride 2 mg/ml
Glucosio 5% 248
Compatibile
Iniezione Paclitaxel
Glucosio 5% 1956
Compatibile
Iniezione Paclitaxel 0,3 & 1,2 mg/ml
Iniezione Cisplatin 0,2 mg/ml
Cloruro di sodio 0,9% 872
Compatibile
Iniezione Paclitaxel 1.2 mg/ml
Nutrizione parenterale (con lipidi) 1415
Compatibile
Iniezione Paclitaxel 1.2 mg/ml
Nutrizione parenterale (privo di lipidi) 301
Compatibile
Iniezione Paclitaxel 1.2 mg/ml
Iniezione Cimetidine hydrochloride 12 mg/ml
Glucosio 5% 85
Compatibile
Iniezione Paclitaxel 1.2 mg/ml
Iniezione Cisplatin 1 mg/ml
Glucosio 5% 85
Instabilità chimica Incompatibile
Iniezione Paclitaxel
Iniezione Cisplatin
3578
Compatibile
Iniezione Paclitaxel 0.6 mg/ml
Iniezione Cladribine 0.5 mg/ml
NaCl 0,9% + sostanza batteriostatica 1496
Compatibile
Iniezione Paclitaxel 0.6 mg/ml
Iniezione Cladribine 0.015 mg/ml
Cloruro di sodio 0,9% 1496
Compatibile
Iniezione Paclitaxel 1.2 mg/ml
Iniezione Cyclophosphamide 10 mg/ml
Glucosio 5% 85
Compatibile
Iniezione Paclitaxel 1.2 mg/ml
Iniezione Cytarabine 50 mg/ml
Glucosio 5% 85
Compatibile
Iniezione Paclitaxel 1.2 mg/ml
Iniezione Dacarbazine 4 mg/ml
Glucosio 5% 248
Compatibile
Iniezione Paclitaxel 1.2 mg/ml
Iniezione Dexamethasone sodium phosphate 1 mg/ml
Glucosio 5% 85
Compatibile
Iniezione Paclitaxel 1.2 mg/ml
Iniezione Diphenhydramine hydrochloride 2 mg/ml
Glucosio 5% 85
Compatibile
Iniezione Paclitaxel 0,6 mg/ml
Iniezione Doripenem 5 mg/ml
Cloruro di sodio 0,9% 2262
Compatibile
Iniezione Paclitaxel 0,6 mg/ml
Iniezione Doripenem 5 mg/ml
Glucosio 5% 2262
Compatibile
Iniezione Paclitaxel 0,3 & 1,2 mg/ml
Iniezione Doxorubicin hydrochloride 0,2 mg/ml
Glucosio 5% 1286
Compatibile
Iniezione Paclitaxel 1.2 mg/ml
Iniezione Doxorubicin hydrochloride 2 mg/ml
Glucosio 5% 85
Compatibile
Iniezione Paclitaxel 0,3 & 1,2 mg/ml
Iniezione Doxorubicin hydrochloride 0,2 mg/ml
Cloruro di sodio 0,9% 1286
Perdita di torbidità Incompatibile
Iniezione Paclitaxel 0.6 mg/ml
Iniezione Doxorubicin hydrochloride liposome peg 0.4 mg/ml
Glucosio 5% 251
Compatibile
Iniezione Paclitaxel
Cloruro di sodio 0,9% 1956
Compatibile
Iniezione Paclitaxel 1.2 mg/ml
Iniezione Droperidol 0.4 mg/ml
Glucosio 5% 248
Compatibile
Iniezione Paclitaxel 1.2 mg/ml
Iniezione Etoposide 0.4 mg/ml
Glucosio 5% 85
Compatibile
Iniezione Paclitaxel 1.2 mg/ml
Iniezione Etoposide phosphate 5 mg/ml
Glucosio 5% 1410
Compatibile
Iniezione Paclitaxel 1.2 mg/ml
Iniezione Famotidine 2 mg/ml
Glucosio 5% 248
Compatibile
Iniezione Paclitaxel 1.2 mg/ml
Iniezione Floxuridine 3 mg/ml
Glucosio 5% 248
Compatibile
Iniezione Paclitaxel 0,3 & 1,2 mg/ml
Iniezione Fluconazole 2 mg/ml
Glucosio 5% 151
Compatibile
Iniezione Paclitaxel 1.2 mg/ml
Iniezione Fluconazole 2 mg/ml
Glucosio 5% 248
Compatibile
Iniezione Paclitaxel 1.2 mg/ml
Iniezione Fluorouracil 16 mg/ml
Glucosio 5% 85
Compatibile
Iniezione Paclitaxel 1.2 mg/ml
Iniezione Furosemide 3 mg/ml
Glucosio 5% 248
Compatibile
Iniezione Paclitaxel 1.2 mg/ml
Iniezione Ganciclovir sodium 20 mg/ml
Glucosio 5% 248
Compatibile
Iniezione Paclitaxel 1.2 mg/ml
Iniezione Gemcitabine hydrochloride 10 mg/ml
Cloruro di sodio 0,9% 1423
Compatibile
Iniezione Paclitaxel 1.2 mg/ml
Iniezione Gentamicin sulfate 5 mg/ml
Glucosio 5% 248
Compatibile
Iniezione Paclitaxel 1.2 mg/ml
Iniezione Granisetron hydrochloride 0.05 mg/ml
Glucosio 5% 182
Compatibile
Iniezione Paclitaxel 0.29 mg/ml
Iniezione Granisetron hydrochloride 1 mg/ml
Cloruro di sodio 0,9% 57
Compatibile
Iniezione Paclitaxel 1.2 mg/ml
Iniezione Haloperidol lactate 0.2 mg/ml
Glucosio 5% 85
Compatibile
Iniezione Paclitaxel 1.2 mg/ml
Iniezione Heparin sodium 100 UI/ml
Glucosio 5% 248
Compatibile
Iniezione Paclitaxel 1.2 mg/ml
Iniezione Hydrocortisone sodium succinate 1 mg/ml
Glucosio 5% 248
Compatibile
Iniezione Paclitaxel 1.2 mg/ml
Iniezione Hydromorphone hydrochloride 0.5 mg/ml
Glucosio 5% 248
Perdita di torbidità Incompatibile
Iniezione Paclitaxel 1.2 mg/ml
Iniezione Hydroxyzine dihydrochloride 4 mg/ml
Glucosio 5% 248
Compatibile
Iniezione Paclitaxel 1.2 mg/ml
Iniezione Ifosfamide 25 mg/ml
Glucosio 5% 248
Compatibile
Iniezione Paclitaxel 0.6 mg/ml
Iniezione Lansoprazole 0.55 mg/ml
Cloruro di sodio 0,9% 1625
Compatibile
Iniezione Paclitaxel 0.6 mg/ml
Iniezione Linezolid 2 mg/ml
Nessuno 1925
Compatibile
Iniezione Paclitaxel 1.2 mg/ml
Iniezione Lorazepam 0.1 mg/ml
Glucosio 5% 85
Compatibile
Iniezione Paclitaxel 1.2 mg/ml
Iniezione Magnesium sulfate 100 mg/ml
Glucosio 5% 248
Compatibile
Iniezione Paclitaxel 1.2 mg/ml
Iniezione Mannitol 150 mg/ml
Glucosio 5% 248
Compatibile
Iniezione Paclitaxel 1.2 mg/ml
Iniezione Mesna 10 mg/ml
Glucosio 5% 248
Compatibile
Iniezione Paclitaxel 1.2 mg/ml
Iniezione Methotrexate sodium 15 mg/ml
Glucosio 5% 85
Perdita di torbidità Incompatibile
Iniezione Paclitaxel 1.2 mg/ml
Iniezione Methylprednisolone sodium succinate 5 mg/ml
Glucosio 5% 248
Compatibile
Iniezione Paclitaxel 1.2 mg/ml
Iniezione Metoclopramide hydrochloride 5 mg/ml
Glucosio 5% 85
Perdita di torbidità Incompatibile
Iniezione Paclitaxel 1.2 mg/ml
Iniezione Mitoxantrone dihydrochloride 0.5 mg/ml
Glucosio 5% 248
Compatibile
Iniezione Paclitaxel 1.2 mg/ml
Iniezione Morphine sulfate 1 mg/ml
Glucosio 5% 248
Compatibile
Iniezione Paclitaxel 1.2 mg/ml
Iniezione Nalbuphine hydrochloride 10 mg/ml
Glucosio 5% 248
Compatibile
Iniezione Paclitaxel 0.3 & 1.2 mg/ml
Iniezione Ondansetron hydrochloride 0.03 & 0.3 mg/ml
Glucosio 5% 47
Compatibile
Iniezione Paclitaxel 1.2 mg/ml
Iniezione Ondansetron hydrochloride 0.5 mg/ml
Glucosio 5% 248
Compatibile
Iniezione Paclitaxel 0,6 mg/ml
Iniezione Oxaliplatin 0,5 mg/ml
Glucosio 5% 1662
Compatibile
Iniezione Paclitaxel 1,2 mg/ml
Iniezione Palonosetron hydrochloride 50 µg/ml
Glucosio 5% 1940
Compatibile
Iniezione Paclitaxel 0.6 mg/ml
Iniezione Pemetrexed disodium 20 mg/ml
Cloruro di sodio 0,9% 1953
Compatibile
Iniezione Paclitaxel 1.2 mg/ml
Iniezione Pentostatin 0.4 mg/ml
Glucosio 5% 248
Compatibile
Iniezione Paclitaxel 1.2 mg/ml
Iniezione Pethidine hydrochloride 4 mg/ml
Glucosio 5% 248
Compatibile
Iniezione Paclitaxel 1.2 mg/ml
Iniezione Potassium chloride 100 mEq/l
Glucosio 5% 248
Compatibile
Iniezione Paclitaxel 1.2 mg/ml
Iniezione Prochlorperazine edysilate 0.5 mg/ml
Glucosio 5% 85
Compatibile
Iniezione Paclitaxel 1.2 mg/ml
Iniezione Propofol 10 mg/ml
Nessuno 300
Compatibile
Iniezione Paclitaxel 0.3 & 1.2 mg/ml
Iniezione Ranitidine hydrochloride 0.5 & 2 mg/ml
Glucosio 5% 47
Compatibile
Iniezione Paclitaxel 1.2 mg/ml
Iniezione Ranitidine hydrochloride 2 mg/ml
Glucosio 5% 85
Compatibile
Iniezione Paclitaxel 1.2 mg/ml
Iniezione Sodium bicarbonate 84 mg/ml
Glucosio 5% 248
Compatibile
Iniezione Paclitaxel 0.6 mg/ml
Iniezione Thiotepa 1 mg/ml
Glucosio 5% 249
Compatibile
Iniezione Paclitaxel 0.54 mg/ml
Iniezione Topotecan 0.056 mg/ml
Cloruro di sodio 0,9% 1026
Compatibile
Iniezione Paclitaxel 0.54 mg/ml
Iniezione Topotecan 0.056 mg/ml
Glucosio 5% 1026
Compatibile
Iniezione Paclitaxel 1.2 mg/ml
Iniezione Vancomycin hydrochloride 10 mg/ml
Glucosio 5% 85
Compatibile
Iniezione Paclitaxel 1.2 mg/ml
Iniezione Vinblastine sulfate 0.12 mg/ml
Glucosio 5% 248
Compatibile
Iniezione Paclitaxel 1.2 mg/ml
Iniezione Vincristine sulfate 0.05 mg/ml
Glucosio 5% 248
Compatibile
Iniezione Paclitaxel 1.2 mg/ml
Iniezione Zidovudine 4 mg/ml
Glucosio 5% 248

  Mentions Légales