Siste oppdatering :
18/03/2026
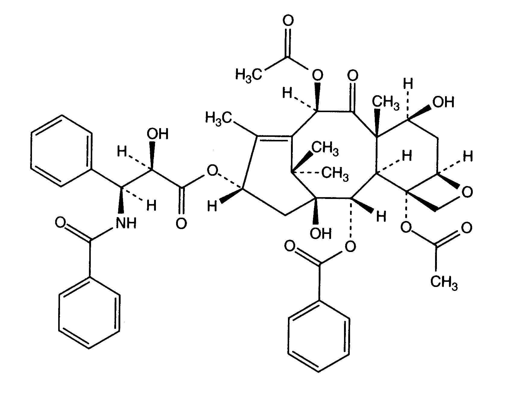
kreft narkotika   Paclitaxel  
Injeksjon
Oppløsningsstabilitet Stabilitet i blandinger Faktorer som påvirker stabiliteten Kompatibilitet Administrasjonsmåte Referanser pdf
   Kjemisk struktur  

Handelsnavn   Handelsnavn     

Handelsnavn er veiledende og sammensetning av hjelpestoffer kan være forskjellig avhengig av land og produsent

Aclipak Malaysia
Acoexcel Mexico
Acupaxil Marokko
Anzatax De forente arabiske emirater, Egypt, Iran, Malaysia, Marokko, New Zealand, Peru, Saudi-Arabia, Tunisia, Tyrkia
Aritaxel Tyskland
Cantaxel India
Clitaxel Argentina, Venezuela
Dalys Argentina
Ebetaxel Iran, Marokko, Saudi-Arabia, Tunisia, Tyrkia, Østerrike
Genexol Egypt, India, Iran
Onxol USA
Paclinova Argentina
Paclitaxin Brasil, Luxembourg, Malaysia, Slovenia
Parexel Brasil, Colombia, Ecuador, Venezuela
Paxene Danmark, Hellas, Irland, Nederland, Polen, Spania
Poltaxel Polen
Ribotax Tyskland
Taxol Brasil, Colombia, Danmark, De forente arabiske emirater, Egypt, Hellas, Iran, Italia, Japan, Malaysia, Marokko, Nederland, New Zealand, Peru, Polen, Portugal, Slovenia, Sveits, Sverige, Tyrkia, Venezuela, Østerrike
Taxomedac Tyskland
Vitax Brasil, Peru, Tyrkia
Kompatibilitet   Injeksjon   Kompatibilitet : Paclitaxel              
Dette skjermbildet viser kompatibilitet eller inkompatibilitet med, i dette tilfellet, typen inkompatibilitet (nedbør, fargeendring, modifisering av en emulsjon, etc.). Kompatibilitetene som er vist her, er for det meste bare fysiske, og den kjemiske stabiliteten til hvert molekyl blir sjelden vurdert. Evalueringen av disse blandingene ble studert for å vurdere muligheten for Y-stedadministrasjon til pasienten. Disse dataene kan ikke brukes til å lage blandinger på forhånd i poser eller sprøyter. Denne typen informasjon er tilgjengelig på skjermen "Stabilitet i blanding".
Legemiddel Oppløsningsmiddel Referanser
Kompatibel
Injeksjon Paclitaxel 1.2 mg/ml
Injeksjon Aciclovir sodium 7 mg/ml
Glukose 5 % 248
Kompatibel
Injeksjon Paclitaxel 1.2 mg/ml
Injeksjon Amikacin sulfate 5 mg/ml
Glukose 5 % 248
Kompatibel
Injeksjon Paclitaxel 1.2 mg/ml
Injeksjon Aminophylline 2.5 mg/ml
Glukose 5 % 248
Umiddelbar turbiditet Uforenlig
Injeksjon Paclitaxel 1.2 mg/ml
Injeksjon Amphotericin B 0.6 mg/ml
Glukose 5 % 248
Tap av turbiditet Uforenlig
Injeksjon Paclitaxel 0.6 mg/ml
Injeksjon Amphotericin B cholesteryl sulfate complex 0.83 mg/ml
Glukose 5 % 921
Kompatibel
Injeksjon Paclitaxel 1.2 mg/ml
Injeksjon Ampicillin sodium - sulbactam sodium 20/10 mg/ml
Glukose 5 % 248
Kompatibel
Injeksjon Paclitaxel 0.6 mg/ml
Injeksjon Anidulafungin 0.5 mg/ml
Glukose 5 % 1982
Kompatibel
Injeksjon Paclitaxel 1.2 mg/ml
Injeksjon Bleomycin sulfate 1 mg/ml
Glukose 5 % 248
Kompatibel
Injeksjon Paclitaxel 1.2 mg/ml
Injeksjon Butorphanol tartrate 0.04 mg/ml
Glukose 5 % 248
Kompatibel
Injeksjon Paclitaxel 1.2 mg/ml
Injeksjon Calcium chloride 20 mg/ml
Glukose 5 % 248
Kompatibel
Injeksjon Paclitaxel 1.2 mg/ml
Injeksjon Carboplatin 5 mg/ml
Glukose 5 % 85
Kompatibel
Injeksjon Paclitaxel 0,3 & 1,2 mg/ml
Injeksjon Carboplatin 2 mg/ml
Natriumklorid 0,9 % 872
Kompatibel
Injeksjon Paclitaxel 0,3 & 1,2 mg/ml
Injeksjon Carboplatin 2 mg/ml
Glukose 5 % 872
Kompatibel
Injeksjon Paclitaxel 1.2 mg/ml
Injeksjon Ceforanide 20 mg/ml
Glukose 5 % 248
Kompatibel
Injeksjon Paclitaxel 1.2 mg/ml
Injeksjon Ceftazidime 40 mg/ml
Glukose 5 % 248
Kompatibel
Injeksjon Paclitaxel 1.2 mg/ml
Injeksjon Ceftriaxone disodium 20 mg/ml
Glukose 5 % 248
Tap av turbiditet Uforenlig
Injeksjon Paclitaxel 1.2 mg/ml
Injeksjon Chlorpromazine hydrochloride 2 mg/ml
Glukose 5 % 248
Kompatibel
Injeksjon Paclitaxel
Glukose 5 % 1956
Kompatibel
Injeksjon Paclitaxel 0,3 & 1,2 mg/ml
Injeksjon Cisplatin 0,2 mg/ml
Natriumklorid 0,9 % 872
Kompatibel
Injeksjon Paclitaxel 1.2 mg/ml
Parenteral ernæring (med lipider) 1415
Kompatibel
Injeksjon Paclitaxel 1.2 mg/ml
Parenteral ernæring(lipid-free) 301
Kompatibel
Injeksjon Paclitaxel 1.2 mg/ml
Injeksjon Cimetidine hydrochloride 12 mg/ml
Glukose 5 % 85
Kompatibel
Injeksjon Paclitaxel 1.2 mg/ml
Injeksjon Cisplatin 1 mg/ml
Glukose 5 % 85
Kjemisk ustabilitet Uforenlig
Injeksjon Paclitaxel
Injeksjon Cisplatin
3578
Kompatibel
Injeksjon Paclitaxel 0.6 mg/ml
Injeksjon Cladribine 0.5 mg/ml
NaCl 0,9% + antibakterielt middel 1496
Kompatibel
Injeksjon Paclitaxel 0.6 mg/ml
Injeksjon Cladribine 0.015 mg/ml
Natriumklorid 0,9 % 1496
Kompatibel
Injeksjon Paclitaxel 1.2 mg/ml
Injeksjon Cyclophosphamide 10 mg/ml
Glukose 5 % 85
Kompatibel
Injeksjon Paclitaxel 1.2 mg/ml
Injeksjon Cytarabine 50 mg/ml
Glukose 5 % 85
Kompatibel
Injeksjon Paclitaxel 1.2 mg/ml
Injeksjon Dacarbazine 4 mg/ml
Glukose 5 % 248
Kompatibel
Injeksjon Paclitaxel 1.2 mg/ml
Injeksjon Dexamethasone sodium phosphate 1 mg/ml
Glukose 5 % 85
Kompatibel
Injeksjon Paclitaxel 1.2 mg/ml
Injeksjon Diphenhydramine hydrochloride 2 mg/ml
Glukose 5 % 85
Kompatibel
Injeksjon Paclitaxel 0,6 mg/ml
Injeksjon Doripenem 5 mg/ml
Natriumklorid 0,9 % 2262
Kompatibel
Injeksjon Paclitaxel 0,6 mg/ml
Injeksjon Doripenem 5 mg/ml
Glukose 5 % 2262
Kompatibel
Injeksjon Paclitaxel 0,3 & 1,2 mg/ml
Injeksjon Doxorubicin hydrochloride 0,2 mg/ml
Glukose 5 % 1286
Kompatibel
Injeksjon Paclitaxel 1.2 mg/ml
Injeksjon Doxorubicin hydrochloride 2 mg/ml
Glukose 5 % 85
Kompatibel
Injeksjon Paclitaxel 0,3 & 1,2 mg/ml
Injeksjon Doxorubicin hydrochloride 0,2 mg/ml
Natriumklorid 0,9 % 1286
Tap av turbiditet Uforenlig
Injeksjon Paclitaxel 0.6 mg/ml
Injeksjon Doxorubicin hydrochloride liposome peg 0.4 mg/ml
Glukose 5 % 251
Kompatibel
Injeksjon Paclitaxel
Natriumklorid 0,9 % 1956
Kompatibel
Injeksjon Paclitaxel 1.2 mg/ml
Injeksjon Droperidol 0.4 mg/ml
Glukose 5 % 248
Kompatibel
Injeksjon Paclitaxel 1.2 mg/ml
Injeksjon Etoposide 0.4 mg/ml
Glukose 5 % 85
Kompatibel
Injeksjon Paclitaxel 1.2 mg/ml
Injeksjon Etoposide phosphate 5 mg/ml
Glukose 5 % 1410
Kompatibel
Injeksjon Paclitaxel 1.2 mg/ml
Injeksjon Famotidine 2 mg/ml
Glukose 5 % 248
Kompatibel
Injeksjon Paclitaxel 1.2 mg/ml
Injeksjon Floxuridine 3 mg/ml
Glukose 5 % 248
Kompatibel
Injeksjon Paclitaxel 0,3 & 1,2 mg/ml
Injeksjon Fluconazole 2 mg/ml
Glukose 5 % 151
Kompatibel
Injeksjon Paclitaxel 1.2 mg/ml
Injeksjon Fluconazole 2 mg/ml
Glukose 5 % 248
Kompatibel
Injeksjon Paclitaxel 1.2 mg/ml
Injeksjon Fluorouracil 16 mg/ml
Glukose 5 % 85
Kompatibel
Injeksjon Paclitaxel 1.2 mg/ml
Injeksjon Furosemide 3 mg/ml
Glukose 5 % 248
Kompatibel
Injeksjon Paclitaxel 1.2 mg/ml
Injeksjon Ganciclovir sodium 20 mg/ml
Glukose 5 % 248
Kompatibel
Injeksjon Paclitaxel 1.2 mg/ml
Injeksjon Gemcitabine hydrochloride 10 mg/ml
Natriumklorid 0,9 % 1423
Kompatibel
Injeksjon Paclitaxel 1.2 mg/ml
Injeksjon Gentamicin sulfate 5 mg/ml
Glukose 5 % 248
Kompatibel
Injeksjon Paclitaxel 1.2 mg/ml
Injeksjon Granisetron hydrochloride 0.05 mg/ml
Glukose 5 % 182
Kompatibel
Injeksjon Paclitaxel 0.29 mg/ml
Injeksjon Granisetron hydrochloride 1 mg/ml
Natriumklorid 0,9 % 57
Kompatibel
Injeksjon Paclitaxel 1.2 mg/ml
Injeksjon Haloperidol lactate 0.2 mg/ml
Glukose 5 % 85
Kompatibel
Injeksjon Paclitaxel 1.2 mg/ml
Injeksjon Heparin sodium 100 UI/ml
Glukose 5 % 248
Kompatibel
Injeksjon Paclitaxel 1.2 mg/ml
Injeksjon Hydrocortisone sodium succinate 1 mg/ml
Glukose 5 % 248
Kompatibel
Injeksjon Paclitaxel 1.2 mg/ml
Injeksjon Hydromorphone hydrochloride 0.5 mg/ml
Glukose 5 % 248
Tap av turbiditet Uforenlig
Injeksjon Paclitaxel 1.2 mg/ml
Injeksjon Hydroxyzine dihydrochloride 4 mg/ml
Glukose 5 % 248
Kompatibel
Injeksjon Paclitaxel 1.2 mg/ml
Injeksjon Ifosfamide 25 mg/ml
Glukose 5 % 248
Kompatibel
Injeksjon Paclitaxel 0.6 mg/ml
Injeksjon Lansoprazole 0.55 mg/ml
Natriumklorid 0,9 % 1625
Kompatibel
Injeksjon Paclitaxel 0.6 mg/ml
Injeksjon Linezolid 2 mg/ml
Ingen 1925
Kompatibel
Injeksjon Paclitaxel 1.2 mg/ml
Injeksjon Lorazepam 0.1 mg/ml
Glukose 5 % 85
Kompatibel
Injeksjon Paclitaxel 1.2 mg/ml
Injeksjon Magnesium sulfate 100 mg/ml
Glukose 5 % 248
Kompatibel
Injeksjon Paclitaxel 1.2 mg/ml
Injeksjon Mannitol 150 mg/ml
Glukose 5 % 248
Kompatibel
Injeksjon Paclitaxel 1.2 mg/ml
Injeksjon Mesna 10 mg/ml
Glukose 5 % 248
Kompatibel
Injeksjon Paclitaxel 1.2 mg/ml
Injeksjon Methotrexate sodium 15 mg/ml
Glukose 5 % 85
Tap av turbiditet Uforenlig
Injeksjon Paclitaxel 1.2 mg/ml
Injeksjon Methylprednisolone sodium succinate 5 mg/ml
Glukose 5 % 248
Kompatibel
Injeksjon Paclitaxel 1.2 mg/ml
Injeksjon Metoclopramide hydrochloride 5 mg/ml
Glukose 5 % 85
Tap av turbiditet Uforenlig
Injeksjon Paclitaxel 1.2 mg/ml
Injeksjon Mitoxantrone dihydrochloride 0.5 mg/ml
Glukose 5 % 248
Kompatibel
Injeksjon Paclitaxel 1.2 mg/ml
Injeksjon Morphine sulfate 1 mg/ml
Glukose 5 % 248
Kompatibel
Injeksjon Paclitaxel 1.2 mg/ml
Injeksjon Nalbuphine hydrochloride 10 mg/ml
Glukose 5 % 248
Kompatibel
Injeksjon Paclitaxel 0.3 & 1.2 mg/ml
Injeksjon Ondansetron hydrochloride 0.03 & 0.3 mg/ml
Glukose 5 % 47
Kompatibel
Injeksjon Paclitaxel 1.2 mg/ml
Injeksjon Ondansetron hydrochloride 0.5 mg/ml
Glukose 5 % 248
Kompatibel
Injeksjon Paclitaxel 0,6 mg/ml
Injeksjon Oxaliplatin 0,5 mg/ml
Glukose 5 % 1662
Kompatibel
Injeksjon Paclitaxel 1,2 mg/ml
Injeksjon Palonosetron hydrochloride 50 µg/ml
Glukose 5 % 1940
Kompatibel
Injeksjon Paclitaxel 0.6 mg/ml
Injeksjon Pemetrexed disodium 20 mg/ml
Natriumklorid 0,9 % 1953
Kompatibel
Injeksjon Paclitaxel 1.2 mg/ml
Injeksjon Pentostatin 0.4 mg/ml
Glukose 5 % 248
Kompatibel
Injeksjon Paclitaxel 1.2 mg/ml
Injeksjon Pethidine hydrochloride 4 mg/ml
Glukose 5 % 248
Kompatibel
Injeksjon Paclitaxel 1.2 mg/ml
Injeksjon Potassium chloride 100 mEq/l
Glukose 5 % 248
Kompatibel
Injeksjon Paclitaxel 1.2 mg/ml
Injeksjon Prochlorperazine edysilate 0.5 mg/ml
Glukose 5 % 85
Kompatibel
Injeksjon Paclitaxel 1.2 mg/ml
Injeksjon Propofol 10 mg/ml
Ingen 300
Kompatibel
Injeksjon Paclitaxel 0.3 & 1.2 mg/ml
Injeksjon Ranitidine hydrochloride 0.5 & 2 mg/ml
Glukose 5 % 47
Kompatibel
Injeksjon Paclitaxel 1.2 mg/ml
Injeksjon Ranitidine hydrochloride 2 mg/ml
Glukose 5 % 85
Kompatibel
Injeksjon Paclitaxel 1.2 mg/ml
Injeksjon Sodium bicarbonate 84 mg/ml
Glukose 5 % 248
Kompatibel
Injeksjon Paclitaxel 0.6 mg/ml
Injeksjon Thiotepa 1 mg/ml
Glukose 5 % 249
Kompatibel
Injeksjon Paclitaxel 0.54 mg/ml
Injeksjon Topotecan 0.056 mg/ml
Natriumklorid 0,9 % 1026
Kompatibel
Injeksjon Paclitaxel 0.54 mg/ml
Injeksjon Topotecan 0.056 mg/ml
Glukose 5 % 1026
Kompatibel
Injeksjon Paclitaxel 1.2 mg/ml
Injeksjon Vancomycin hydrochloride 10 mg/ml
Glukose 5 % 85
Kompatibel
Injeksjon Paclitaxel 1.2 mg/ml
Injeksjon Vinblastine sulfate 0.12 mg/ml
Glukose 5 % 248
Kompatibel
Injeksjon Paclitaxel 1.2 mg/ml
Injeksjon Vincristine sulfate 0.05 mg/ml
Glukose 5 % 248
Kompatibel
Injeksjon Paclitaxel 1.2 mg/ml
Injeksjon Zidovudine 4 mg/ml
Glukose 5 % 248

  Mentions Légales